Last update :
27/04/2026
Antibiotic   Flucloxacillin sodium  
injection
Stability in solutions Stability of mixtures Factors which affect stability Compatibility Route of administration References pdf
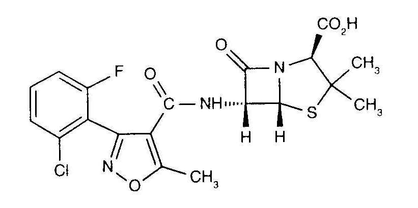
   Chemical structure  

Tradename   Tradename     

Trade names are indicative and excipients composition can be different depending on the country and manufacturers

Astaph Morocco
Betabiotic Italy
DBL flucloxacillin sodium Australia
Flix Turkey
Floxam Morocco
Floxapen Austria, Belgium, Italy, Morocco, Netherlands, Poland, Portugal, Saudi Arabia, Switzerland, United States of America
Flucloxacillin Australia, Germany, Great Britain, Italy
Flucloxacilline Belgium, France, Netherlands
Flucloxin New Zealand
Ladropen United States of America
Stafoxil Netherlands
Staphylex Germany
Compatibility   injection   Compatibility : Flucloxacillin sodium              
This screen indicates the compatibilities or incompatibilities with, in this case, the type of incompatibility (precipitation, color change, modification of an emulsion, etc.). The compatibilities shown here are mostly physical only, with the chemical stability of each molecule rarely being assessed. The evaluation of these mixtures was studied to consider the possibility of Y-site administration to the patient. These data cannot be used for making mixtures in advance in bags or syringes. This type of information is available in the screen "Stability in mixture ».
Compound Solvent References
Immediate precipitation Incompatible
injection Flucloxacillin sodium
injection Amikacin sulfate
3522
Compatible
injection Flucloxacillin sodium 20 mg/ml
injection Aminophylline 1 mg/ml
Sodium chloride 0,9% 1232
Immediate precipitation Incompatible
injection Flucloxacillin sodium 20 mg/ml
injection Amiodarone hydrochloride 4 mg/ml
Glucose 5% 1232
Compatible
injection Flucloxacillin sodium 20 mg/ml
injection Ampicillin sodium 20 mg/ml
Sodium chloride 0,9% 1232
Compatible
injection Flucloxacillin sodium 20 mg/ml
injection Bumetanide 0,006 mg/ml
Sodium chloride 0,9% 1232
Compatible
injection Flucloxacillin sodium 50 mg/ml
injection Caffeine 10 mg/ml
Glucose 5% 4837
Compatible
injection Flucloxacillin sodium 50 mg/ml
injection Caffeine citrate 20 mg/ml
Glucose 5% 4837
Immediate precipitation Incompatible
injection Flucloxacillin sodium 20 mg/ml
injection Calcium gluconate 2 mg/ml
Sodium chloride 0,9% 1232
Compatible
injection Flucloxacillin sodium 40 >> 240 mg/ml
injection Ceftazidime 40 >> 180 mg/ml
Sodium chloride 0,9% 3091
Compatible
injection Flucloxacillin sodium 20 mg/ml
injection Cefuroxime sodium 37,5 mg/ml
Water for Injection 1232
Immediate precipitation Incompatible
injection Flucloxacillin sodium 20 mg/ml
injection Chlorpromazine hydrochloride 5 mg/ml
Water for Injection 1232
Compatible
injection Flucloxacillin sodium 20 mg/ml
injection Cimetidine hydrochloride 4 mg/ml
Sodium chloride 0,9% 1232
Unspecified incompatibility Incompatible
injection Flucloxacillin sodium
injection Ciprofloxacin lactate
3529
Compatible
injection Flucloxacillin sodium
Sodium chloride 0,9% 3522
Compatible
injection Flucloxacillin sodium
Glucose 5% 3522
Unspecified incompatibility Incompatible
injection Flucloxacillin sodium
Parenteral nutrition (with lipids) 3522
Immediate precipitation Incompatible
injection Flucloxacillin sodium 10 mg/ml
injection Ciprofloxacin lactate 2 mg/ml
None 1357
Unspecified incompatibility Incompatible
injection Flucloxacillin sodium
Parenteral nutrition (binary mixture) 3522
Compatible
injection Flucloxacillin sodium 20 mg/ml
injection Dexamethasone sodium phosphate 4 mg/ml
Sodium chloride 0,9% 1232
Compatible
injection Flucloxacillin sodium 20 mg/ml
injection Digoxin 25 µg/ml
Sodium chloride 0,9% 1232
Compatible
injection Flucloxacillin sodium 50 mg/ml
Parenteral nutrition (binary mixture) 939
Immediate turbidity Incompatible
injection Flucloxacillin sodium 20 mg/ml
injection Dobutamine hydrochloride 0.5 mg/ml
Sodium chloride 0,9% 1232
Compatible
injection Flucloxacillin sodium 20 mg/ml
injection Epinephrine hydrochloride 8 µg/ml
Water for Injection 1232
Immediate precipitation Incompatible
injection Flucloxacillin sodium 20 mg/ml
injection Erythromycin lactobionate 5 mg/ml
Sodium chloride 0,9% 1232
Unspecified incompatibility Incompatible
injection Flucloxacillin sodium
injection Erythromycin lactobionate
3674
Compatible
injection Flucloxacillin sodium 20 mg/ml
injection Furosemide 1 mg/ml
Sodium chloride 0,9% 1232
Immediate precipitation Incompatible
injection Flucloxacillin sodium
injection Gentamicin sulfate
3522
Unspecified incompatibility Incompatible
injection Flucloxacillin sodium
injection Gentamicin sulfate
3643
Compatible
injection Flucloxacillin sodium 20 mg/ml
injection Hydrocortisone sodium succinate 50 mg/ml
Sodium chloride 0,9% 1232
Immediate precipitation Incompatible
injection Flucloxacillin sodium
injection Kanamycin sulfate
3522
Compatible
injection Flucloxacillin sodium 20 mg/ml
injection Lidocaine hydrochloride 2 mg/ml
Sodium chloride 0,9% 1232
Turbidity in 4 hours Incompatible
injection Flucloxacillin sodium 50 mg/ml
injection Lorazepam 0.33 mg/ml
Sodium chloride 0,9% 186
Immediate precipitation Incompatible
injection Flucloxacillin sodium 20 mg/ml
injection Metoclopramide hydrochloride 1 mg/ml
Sodium chloride 0,9% 1232
Immediate precipitation Incompatible
injection Flucloxacillin sodium 50 mg/ml
injection Midazolam hydrochloride 5 mg/ml
None 186
Immediate precipitation Incompatible
injection Flucloxacillin sodium
injection Netilmicin sulfate
3522
Precipitation after 7 hours Incompatible
injection Flucloxacillin sodium 10 mg/ml
injection Ofloxacin 2 mg/ml
None 889
Unspecified incompatibility Incompatible
injection Flucloxacillin sodium
injection Penicillin G sodium
3585
Compatible
injection Flucloxacillin sodium 50 mg/ml
injection Pentoxifyllin 5 mg/ml
Glucose 5% 4538
Immediate turbidity Incompatible
injection Flucloxacillin sodium 20 mg/ml
injection Pethidine hydrochloride 5 mg/ml
Water for Injection 1232
Compatible
injection Flucloxacillin sodium 20 mg/ml
injection Potassium chloride 40 mEq/l
Water for Injection 1232
Immediate precipitation Incompatible
injection Flucloxacillin sodium 20 mg/ml
injection Prochlorperazine edysilate 1.25 mg/ml
Water for Injection 1232
Immediate precipitation Incompatible
injection Flucloxacillin sodium 20 mg/ml
injection Promethazine hydrochloride 5 mg/ml
Water for Injection 1232
Compatible
injection Flucloxacillin sodium 20 mg/ml
injection Ranitidine hydrochloride 0,5 mg/ml
Sodium chloride 0,9% 1232
Immediate turbidity Incompatible
injection Flucloxacillin sodium
injection Sildenafil citrate 0,6 mg/ml
Glucose 5% 4845
Chemical instability Incompatible
injection Flucloxacillin sodium 50 mg/ml
injection Sildenafil citrate 0,6 mg/ml
Glucose 5% 4845
Compatible
injection Flucloxacillin sodium 20 mg/ml
injection Sodium bicarbonate 84 mg/ml
1232
Compatible
injection Flucloxacillin sodium 250 mg/ml
injection Temocilline 83.33 mg/ml
Water for Injection 2231
Immediate precipitation Incompatible
injection Flucloxacillin sodium
injection Tobramycin sulfate
3522
Precipitation after 7 hours Incompatible
injection Flucloxacillin sodium 20 mg/ml
injection Tobramycin sulfate 8 mg/ml
Sodium chloride 0,9% 1232
Unspecified incompatibility Incompatible
injection Flucloxacillin sodium 250 mg/ml
injection Vancomycin hydrochloride 10 mg/ml
Glucose 5% 3385

  Mentions Légales