Останнє оновлення :
27/01/2026
Протигрибковий   Amphotericin B  
Ополіскувач ротової порожнини
ін'єкція аерозоль Очні краплі Розчин для перорального застосування
Стабільність фармацевтичних препаратів Стійкість сумішей Фактори, що впливають на стабільність Сумісність Список літератури pdf
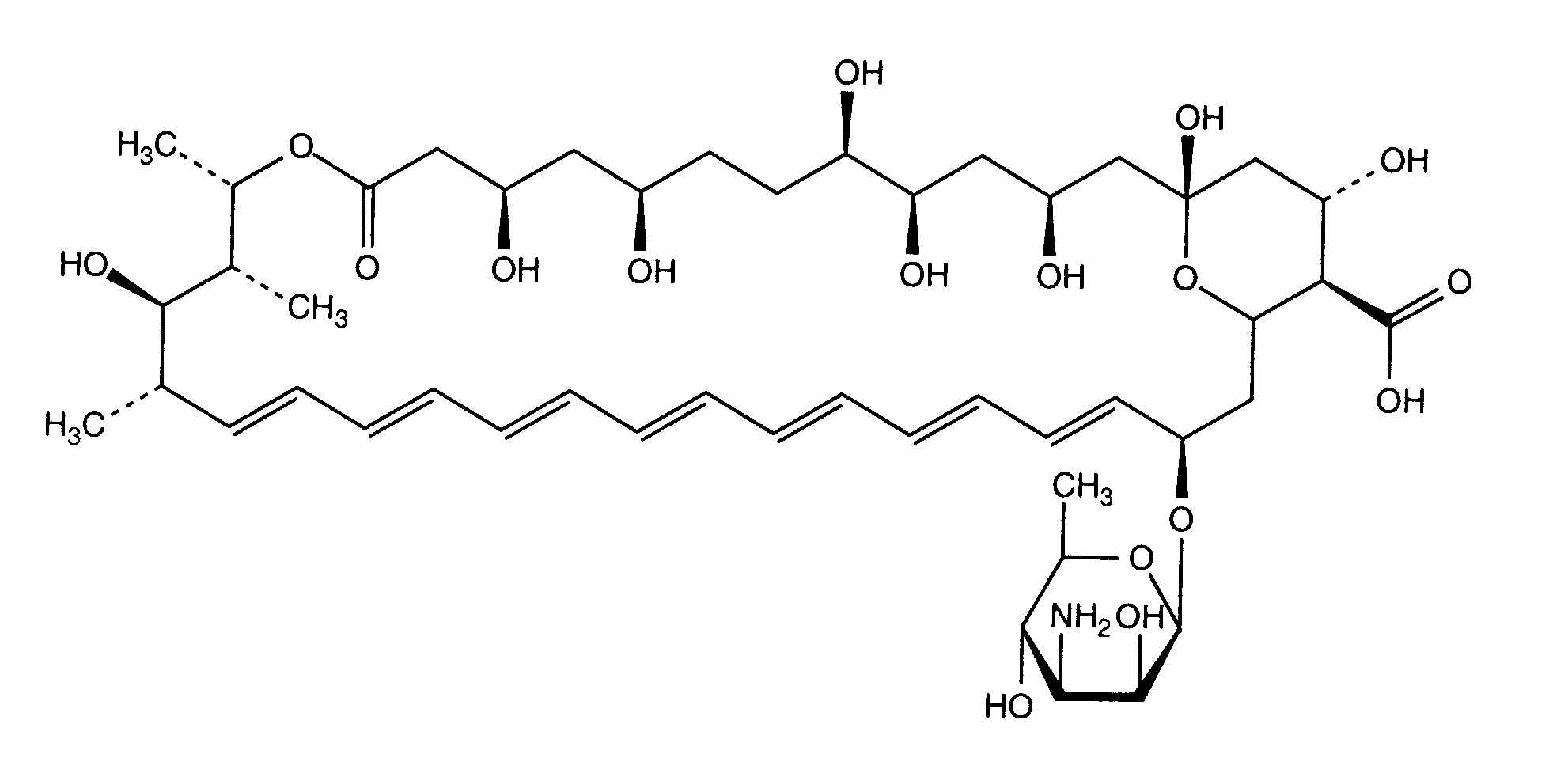
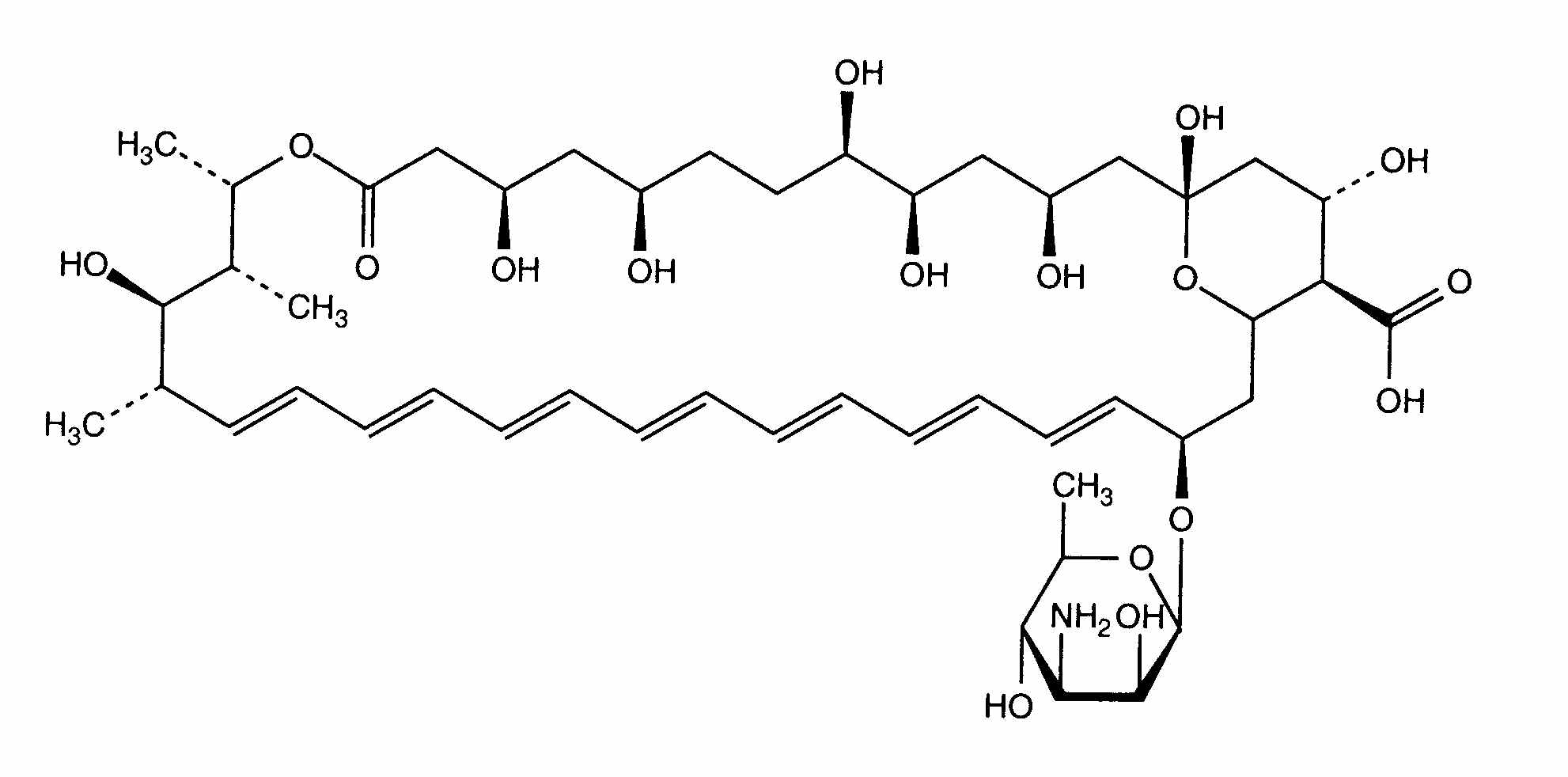
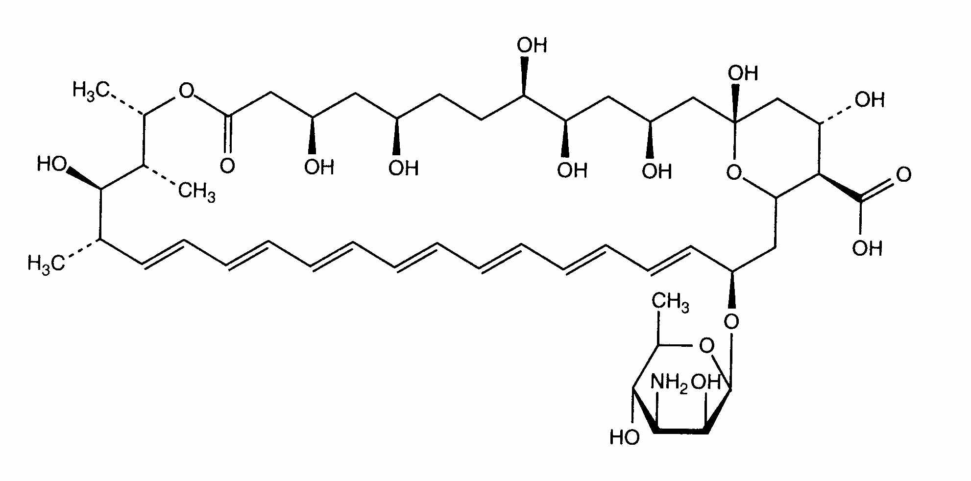
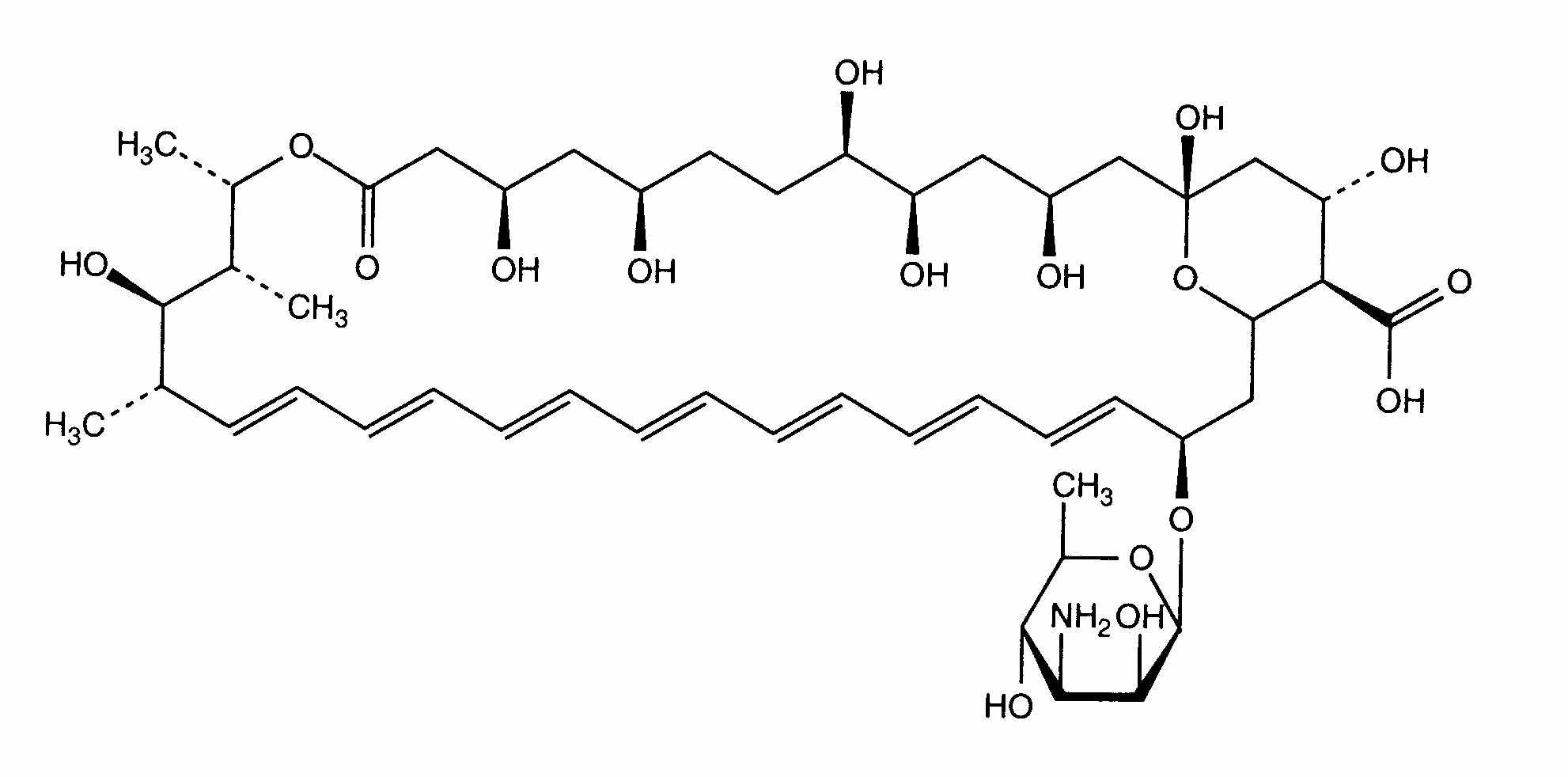
   Хімічна структура  

Ополіскувач ротової порожнини
Стійкість сумішей   Ополіскувач ротової порожнини   Стійкість сумішей : Amphotericin B     
7 / 5 000 Résultats de traduction Немає даних

  Mentions Légales