Pēdējā atjaunošana :
27/04/2026
Pretsēnīšu līdzeklis   Amphotericin B  
Mutes skalojamais līdzeklis
Acu pilieni Aerosols Injekcija Orāls šķīdums
Stabilitāte farmaceitisko preparātu Maisījuma stabilitāte Stabilitāti ietekmējoši faktori Saderība Literatūras saraksts pdf
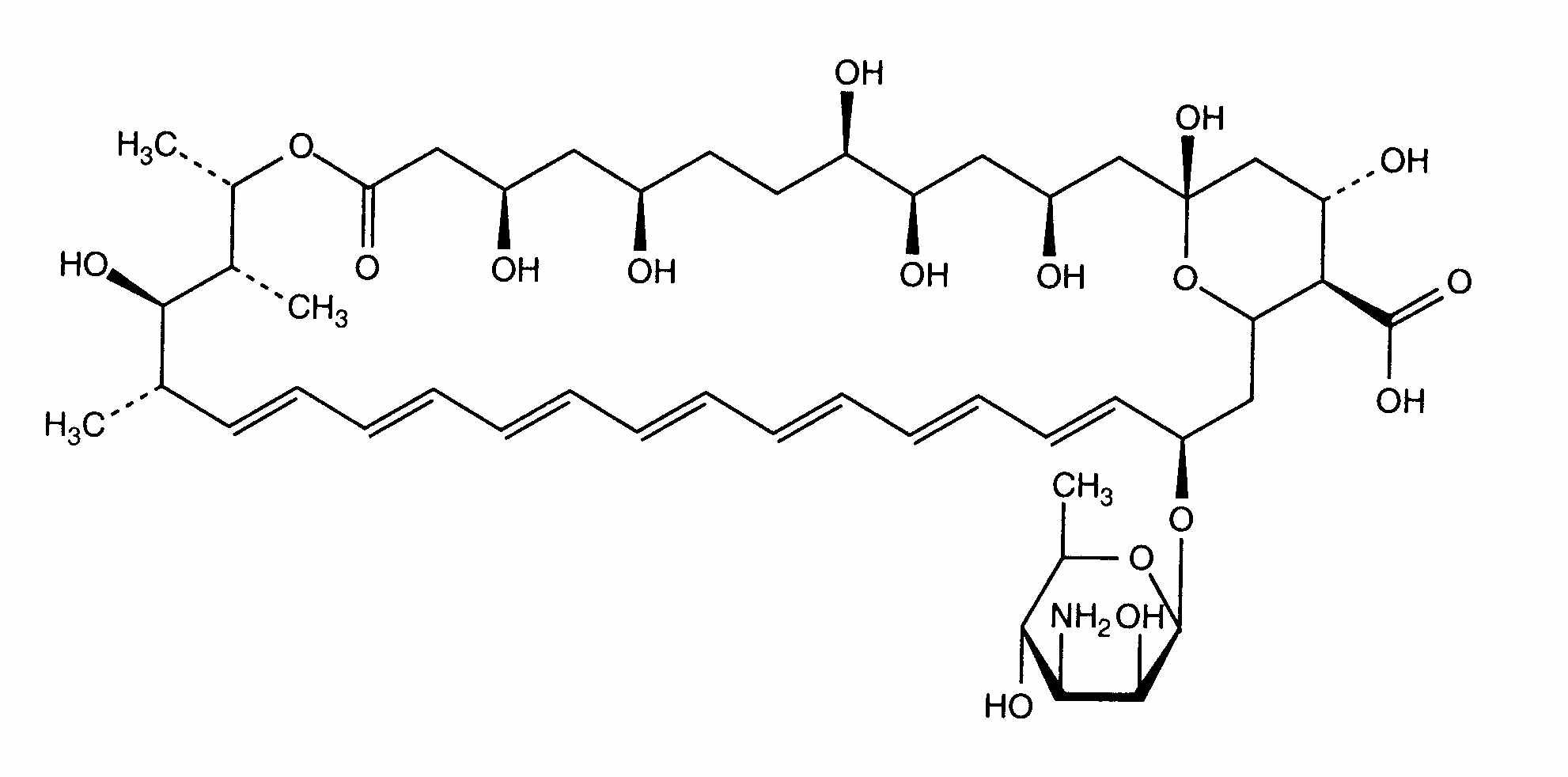
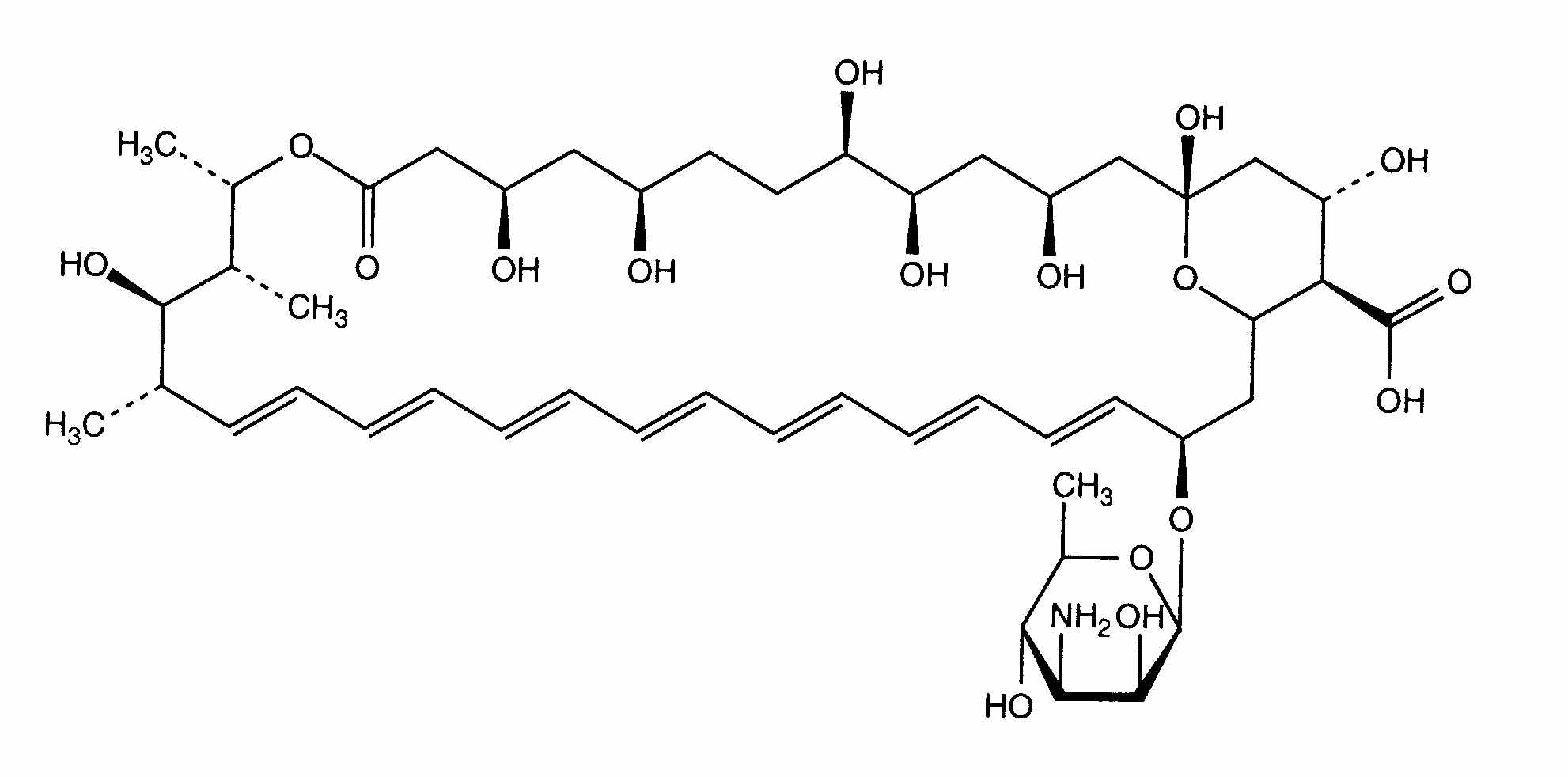
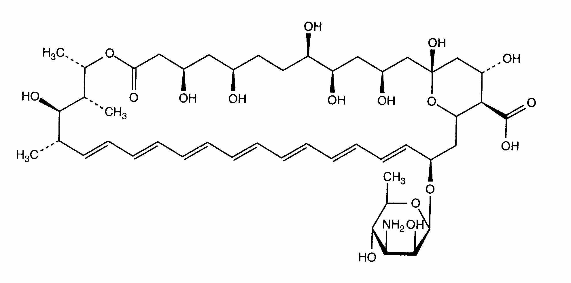
   Ķīmiskā uzbūve   

Mutes skalojamais līdzeklis
Maisījuma stabilitāte   Mutes skalojamais līdzeklis   Maisījuma stabilitāte : Amphotericin B     
Nav datu

  Mentions Légales