Ostatnia aktualizacja :
27/04/2026
Lek przeciwgrzybiczny   Amphotericin B  
Roztwór do płukania gardła
Aerozol Injekcje Krople oczne Roztwór doustny
Stabilność preparatów farmaceutycznych Trwałość w mieszaninie Czynnik wpływający na trwałość Zgodność Bibliografia pdf
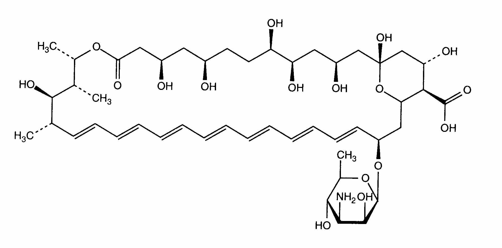
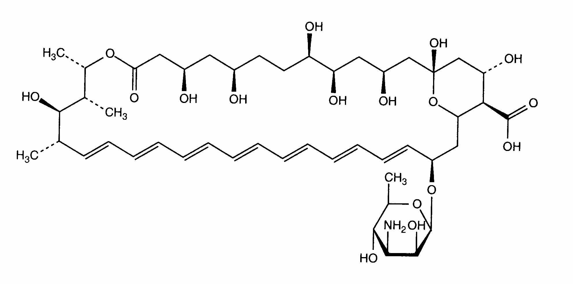
   Struktura chemiczna  

Roztwór do płukania gardła
Trwałość w mieszaninie   Roztwór do płukania gardła   Trwałość w mieszaninie : Amphotericin B     
Brak danych

  Mentions Légales