Poslední aktualizace :
31/03/2026
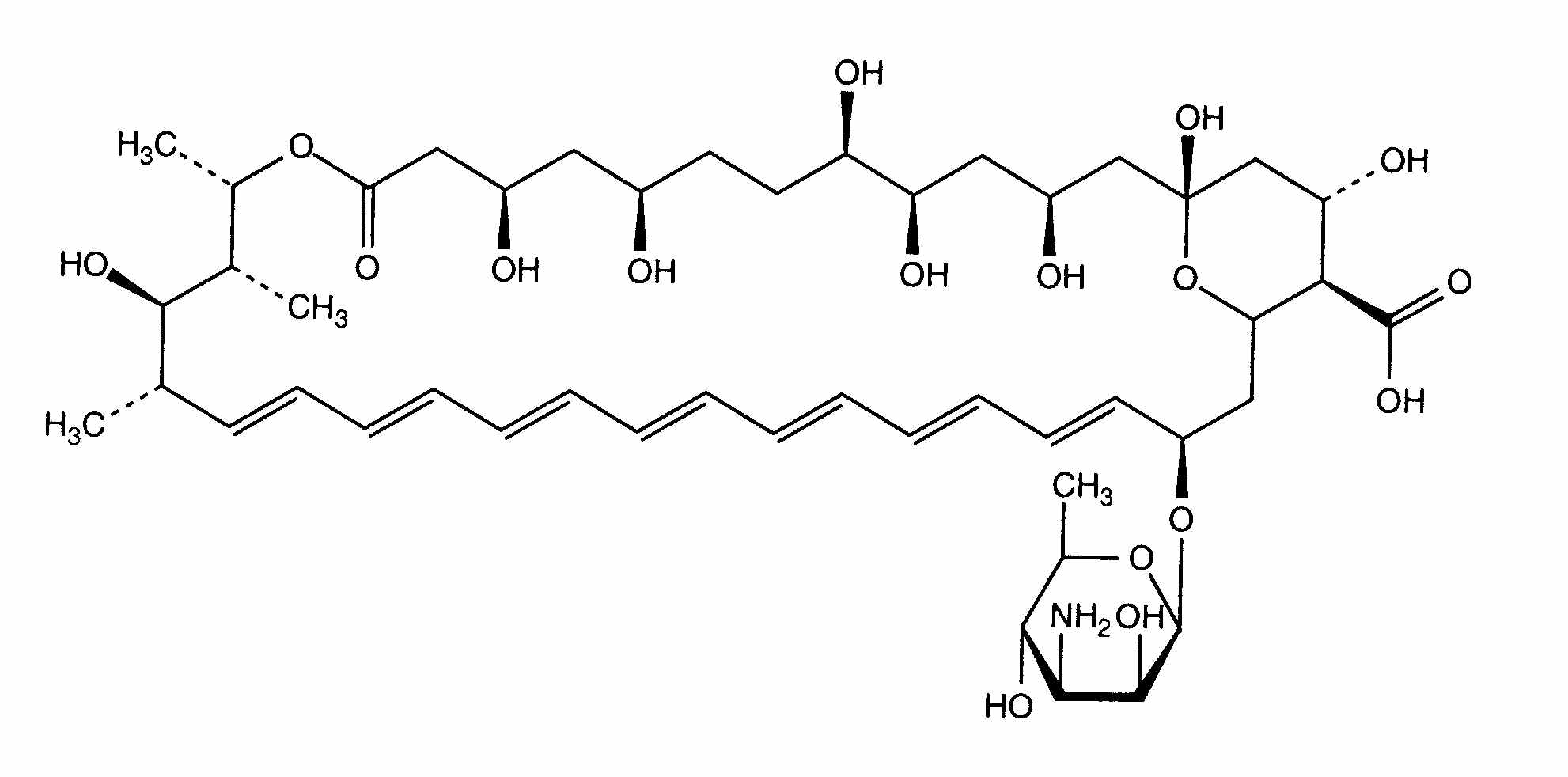
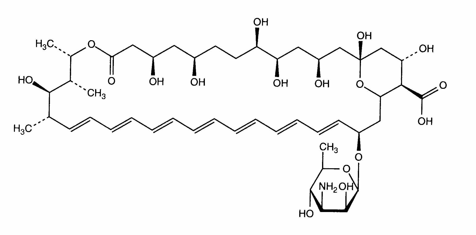
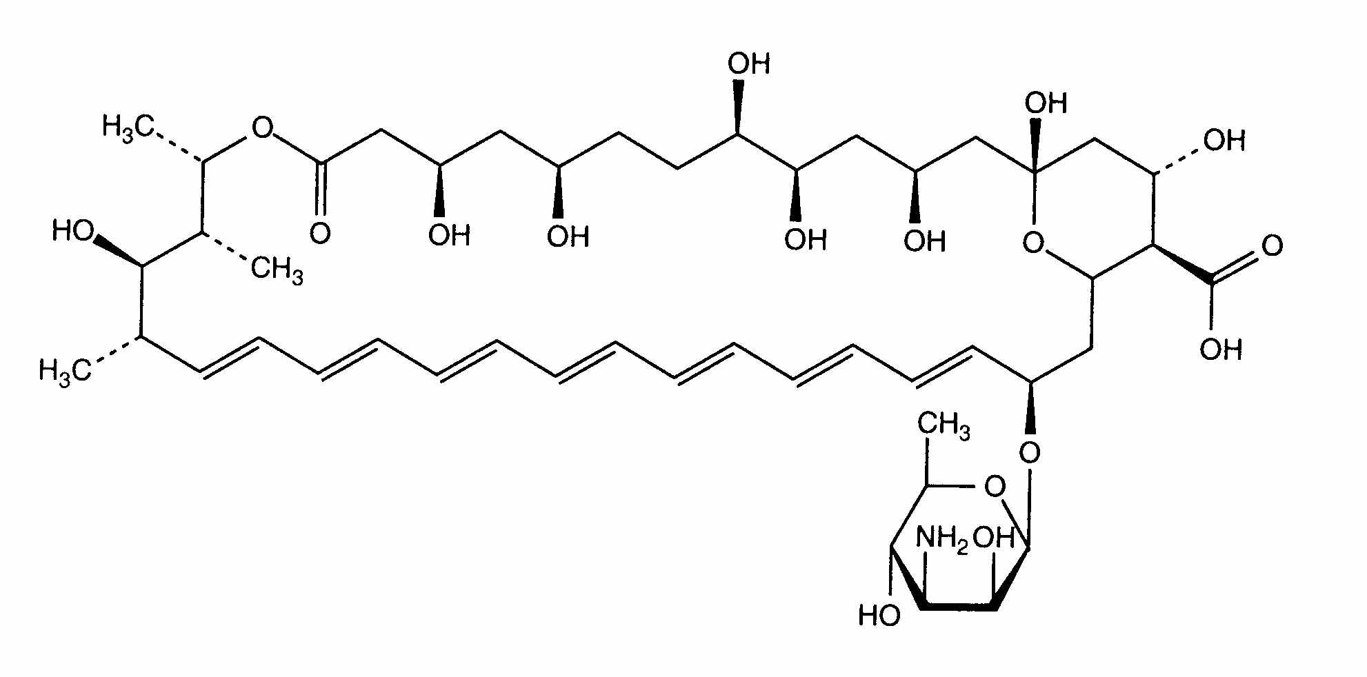
Protiplísňový přípravek   Amphotericin B  
kloktadlo
Aerosol Humbuk injekce Perorální roztok
Stabilita farmaceutických přípravků Stabilita směsí Faktory ovlivňující stabilitu Kompatibilita Odkazy pdf
   Chemický vzorec  

kloktadlo
Stabilita směsí   kloktadlo   Stabilita směsí : Amphotericin B     
žádná data

  Mentions Légales