Siste oppdatering :
27/04/2026
Fungicid   Amphotericin B  
Munnvann
Aerosol Injeksjon Mikstur Øyedråper
Stabilitet av farmasøytiske preparater Stabilitet i blandinger Faktorer som påvirker stabiliteten Kompatibilitet Referanser pdf
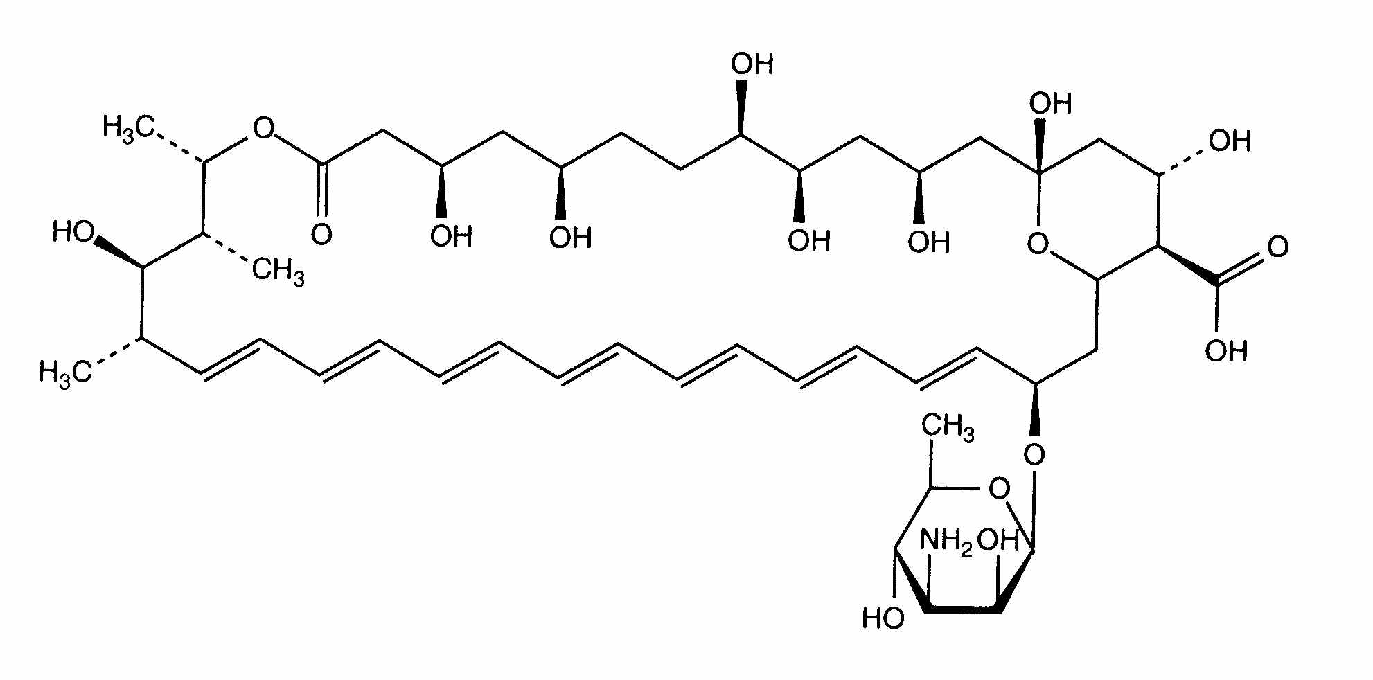
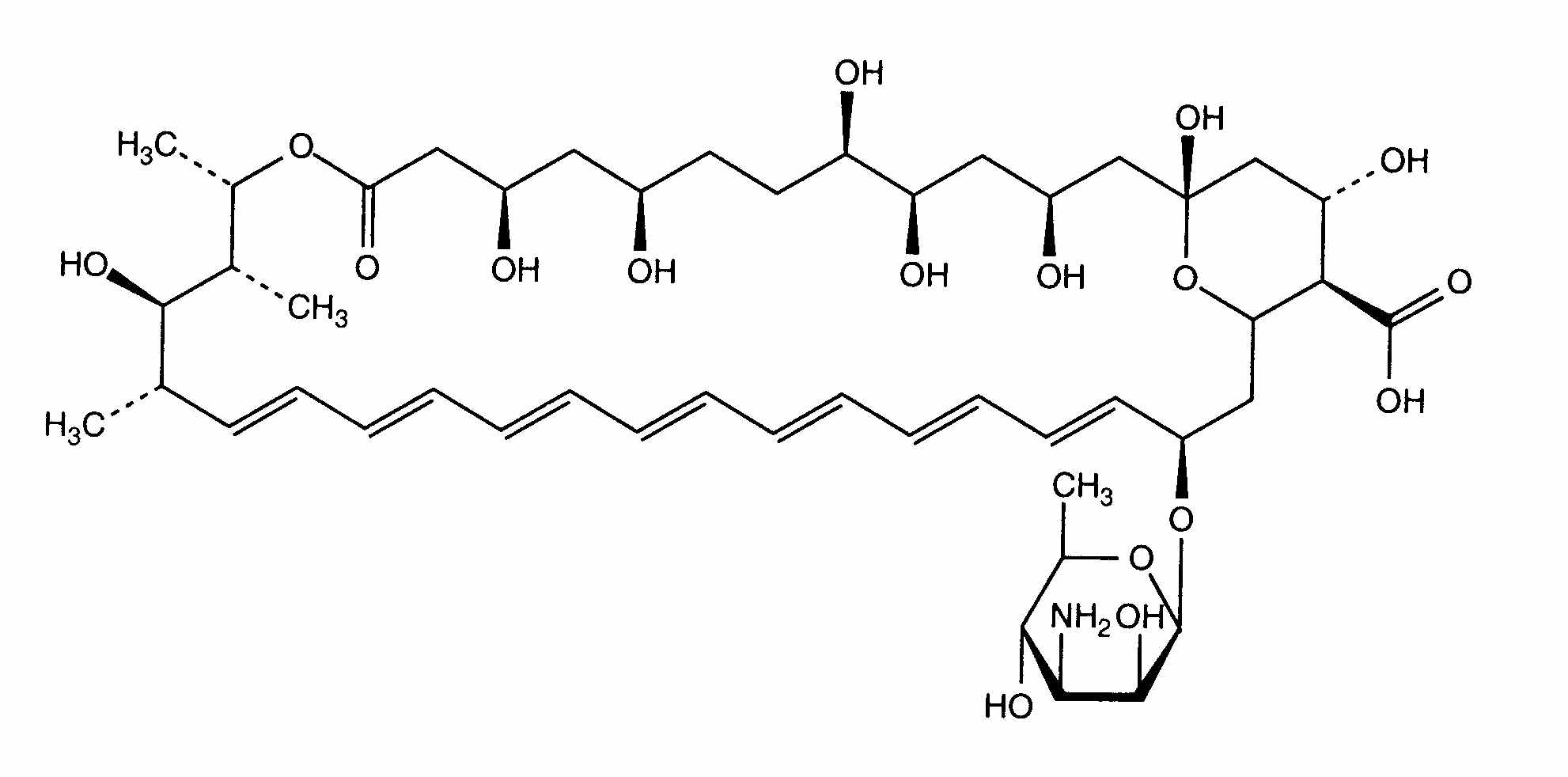
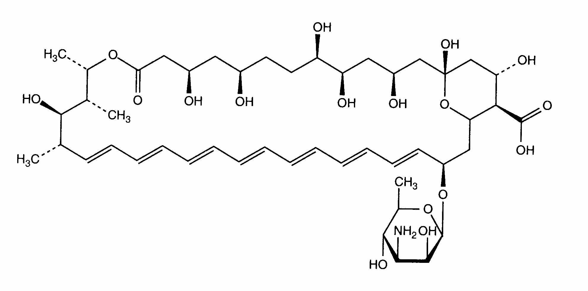
   Kjemisk struktur  

Munnvann
Stabilitet i blandinger   Munnvann   Stabilitet i blandinger : Amphotericin B     
Ingen opplysninger

  Mentions Légales