zadnja posodobitev :
27/04/2026
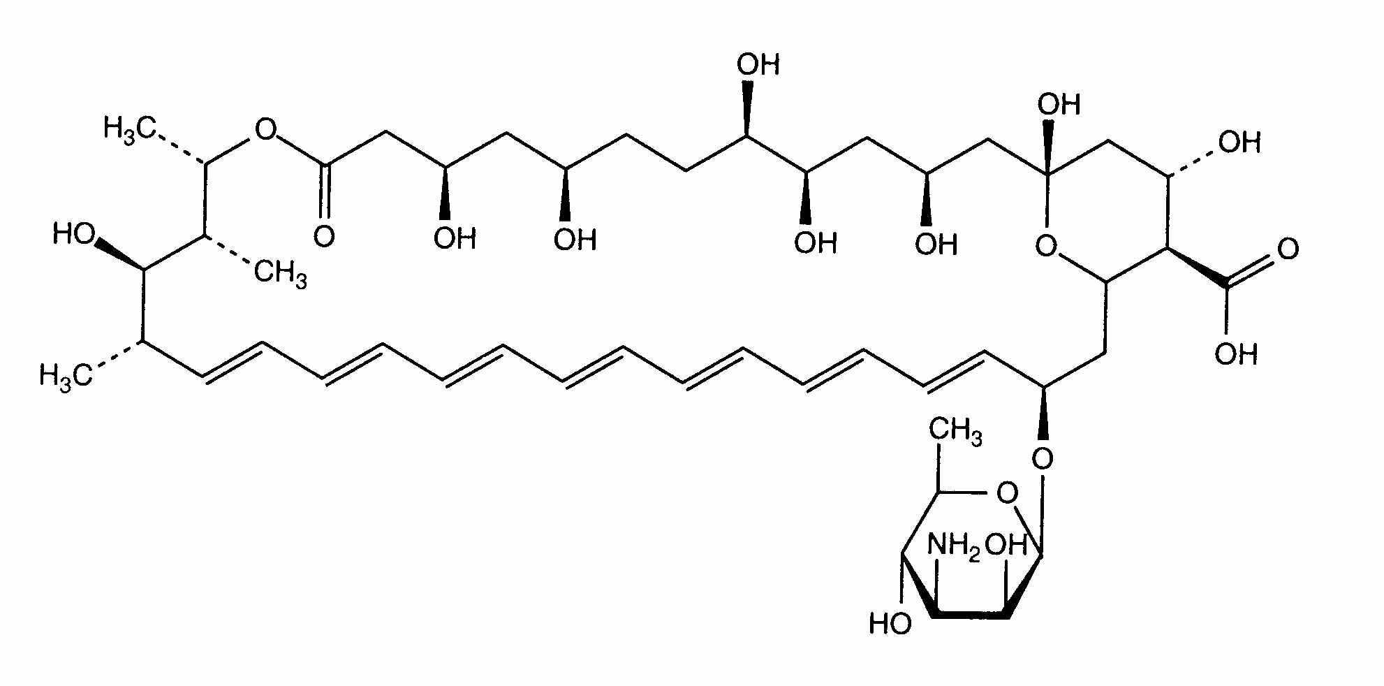
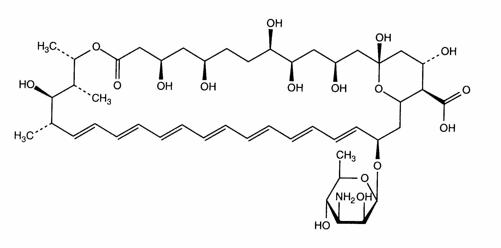
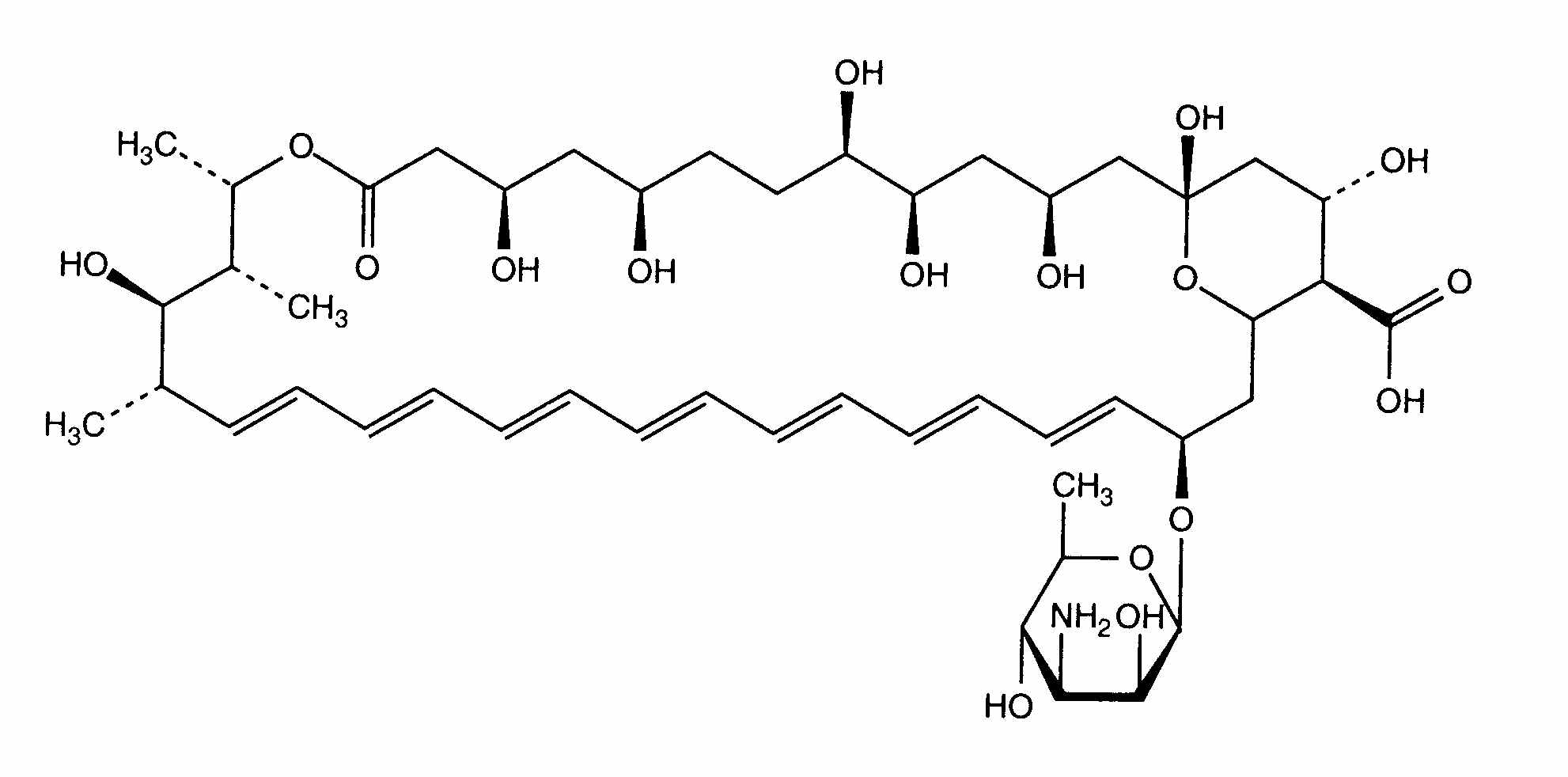
Antimikotik   Amphotericin B  
Ustna voda
Aerosol Brizgalka Kapljice za oči Peroralna raztopina
Stabilnost farmacevtskih preparatov Stabilnost mešanice Faktorji, ki vplivajo na stabilnost Kompatibilnost Viri pdf
   Kemična formula  

Ustna voda
Stabilnost mešanice   Ustna voda   Stabilnost mešanice : Amphotericin B     
ni podatka

  Mentions Légales