Utolsó frissítés :
27/04/2026
Gombaellenes szer   Amphotericin B  
Szájvíz
aeroszol belsőleges oldat Injekció Szemcsepp
Stabilitása gyógyszerészeti készítmények A keverékek stabilitása Stabilitást befolyásoló tényezők Kompatibilitás Irodalom pdf
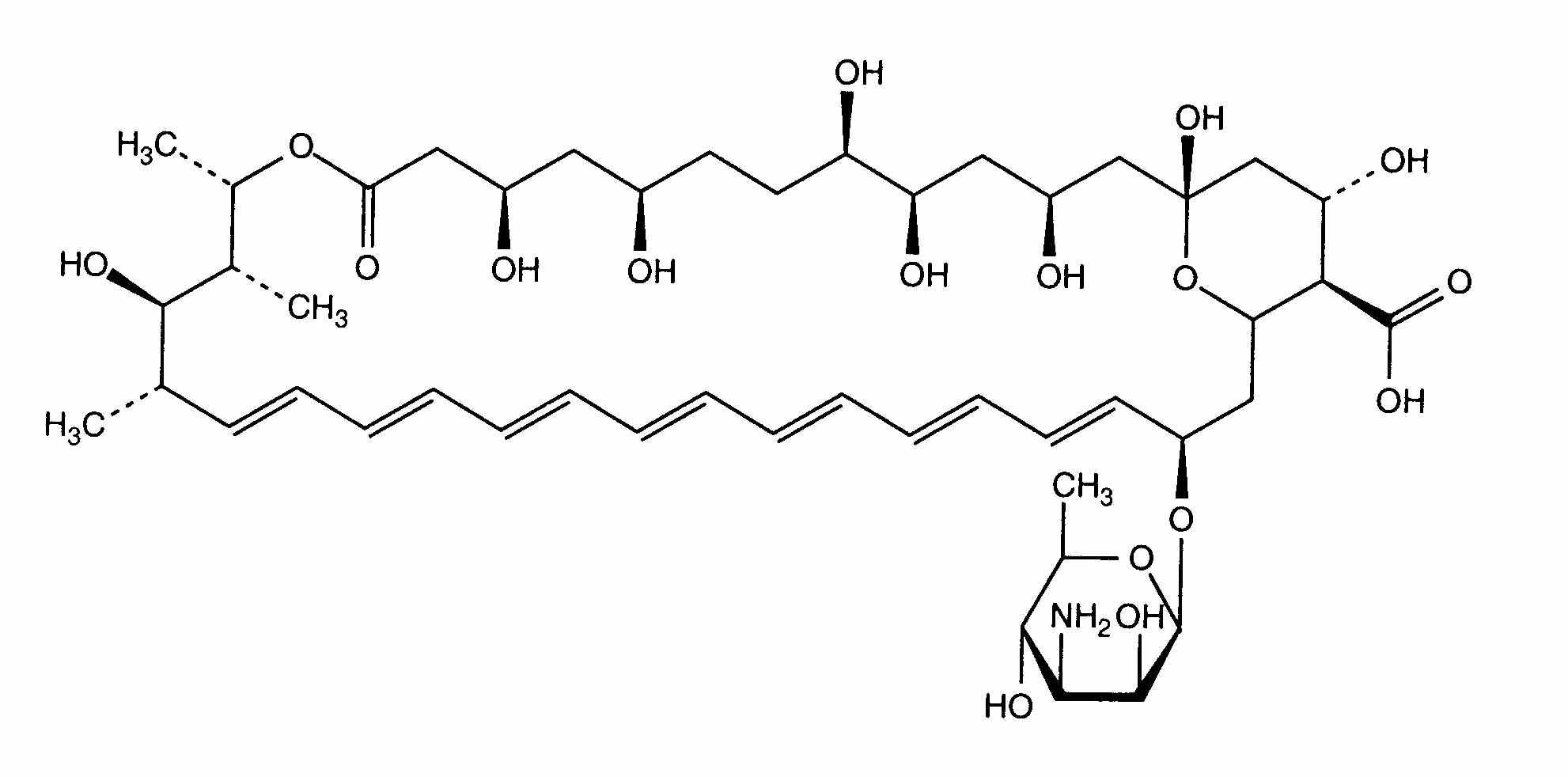
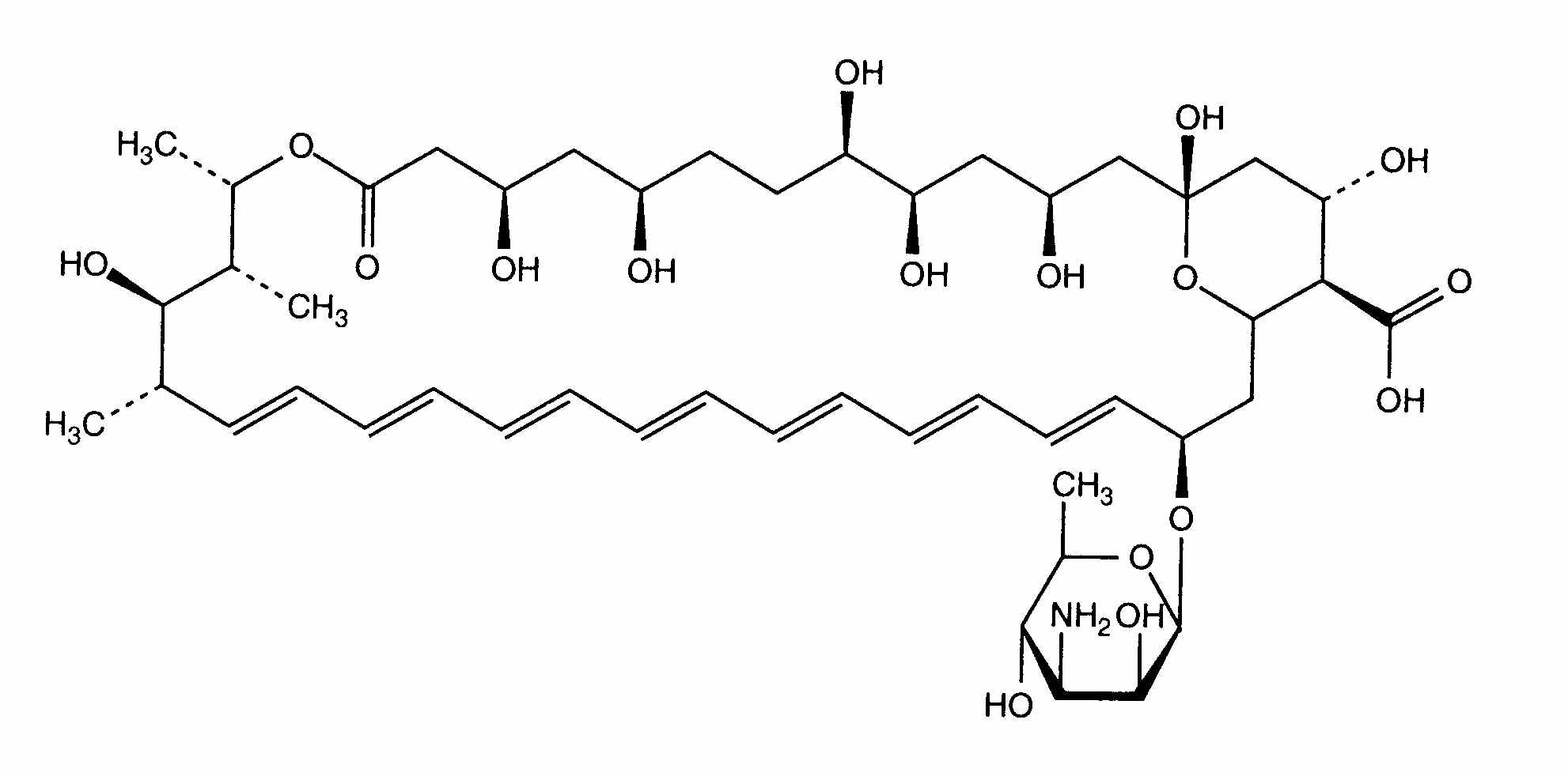
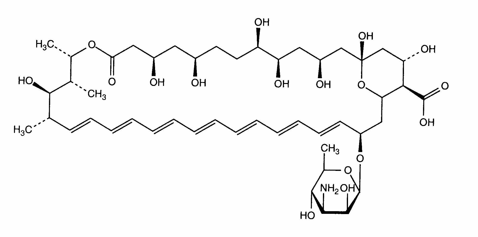
   Kémiai szerkezet   

Szájvíz
A keverékek stabilitása   Szájvíz   A keverékek stabilitása : Amphotericin B     
Hiányzó adat

  Mentions Légales