最新更新 :
31/03/2026
抗真菌薬   Amphotericin B  
含嗽薬
エアロゾル 注射薬 点眼薬 経口液
調剤時の安定性 混合時の安定性 安定性に影響する因子 互換性 引用文献 PDF
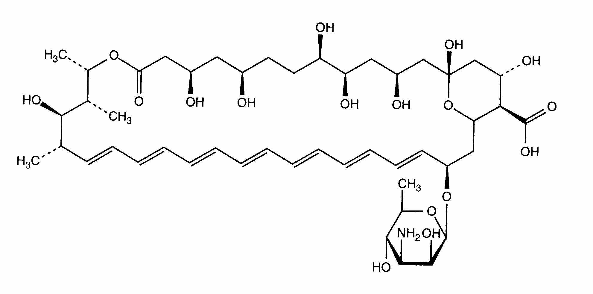
   化学構造  

含嗽薬
混合時の安定性   含嗽薬   混合時の安定性 : Amphotericin B     
データなし

  Mentions Légales