Последнее обновление :
27/04/2026
Противогрибковое средство   Amphotericin B  
Ополаскиватель для полости рта
Аэрозоль Глазные капли Инъекция Раствор для перорального приёма
Стабильность фармацевтических препаратов Стабильность смесей Факторы, которые влияют на стабильность Совместимость Библиография pdf
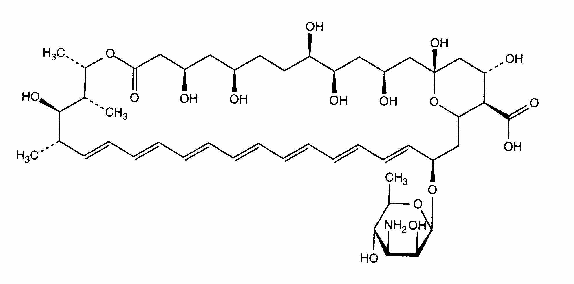
   Химическая структура  

Ополаскиватель для полости рта
Стабильность смесей   Ополаскиватель для полости рта   Стабильность смесей : Amphotericin B     
данных нет

  Mentions Légales