Ultimo aggiornamento :
27/04/2026
Antimicotico   Amphotericin B  
Collutorio
Aerosol Collirio Iniezione Soluzione orale
Stabilità dei preparati farmaceutici Stabilità in miscela Fattori che influenzano la stabilità Compatibilità Bibliografia pdf
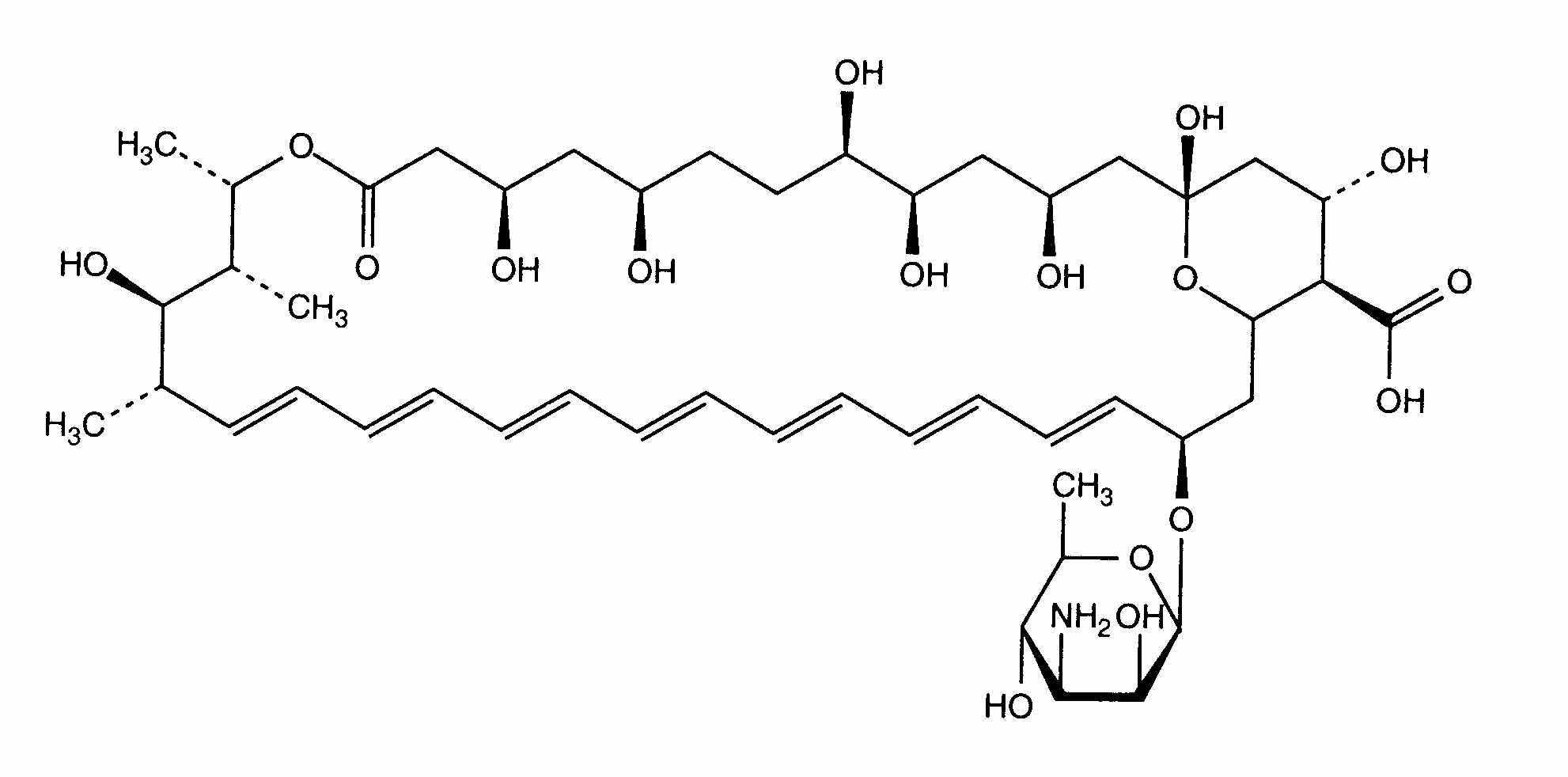
   Struttura chimica  

Collutorio
Stabilità in miscela   Collutorio   Stabilità in miscela : Amphotericin B     
Assenza di dati

  Mentions Légales