Letztes “update” :
27/04/2026
Antifungoid   Amphotericin B  
Mundspüllösung
Aerosol Augentropfen Injektion Lösung zum Einnehmen
Stabilität von pharmazeutischen Präparaten Gemengestabilität Stabilitätbeeinflussende Faktoren Kompatibilitäten Literaturverzeichnis pdf
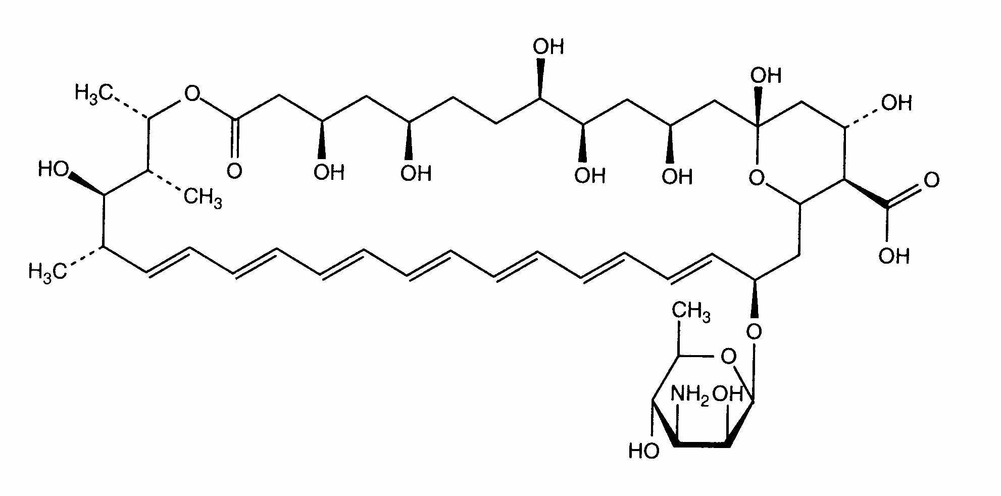
   Chemische Struktur  

Mundspüllösung
Gemengestabilität   Mundspüllösung   Gemengestabilität : Amphotericin B     
Keine Daten

  Mentions Légales