Ultimele actualizari :
31/03/2026
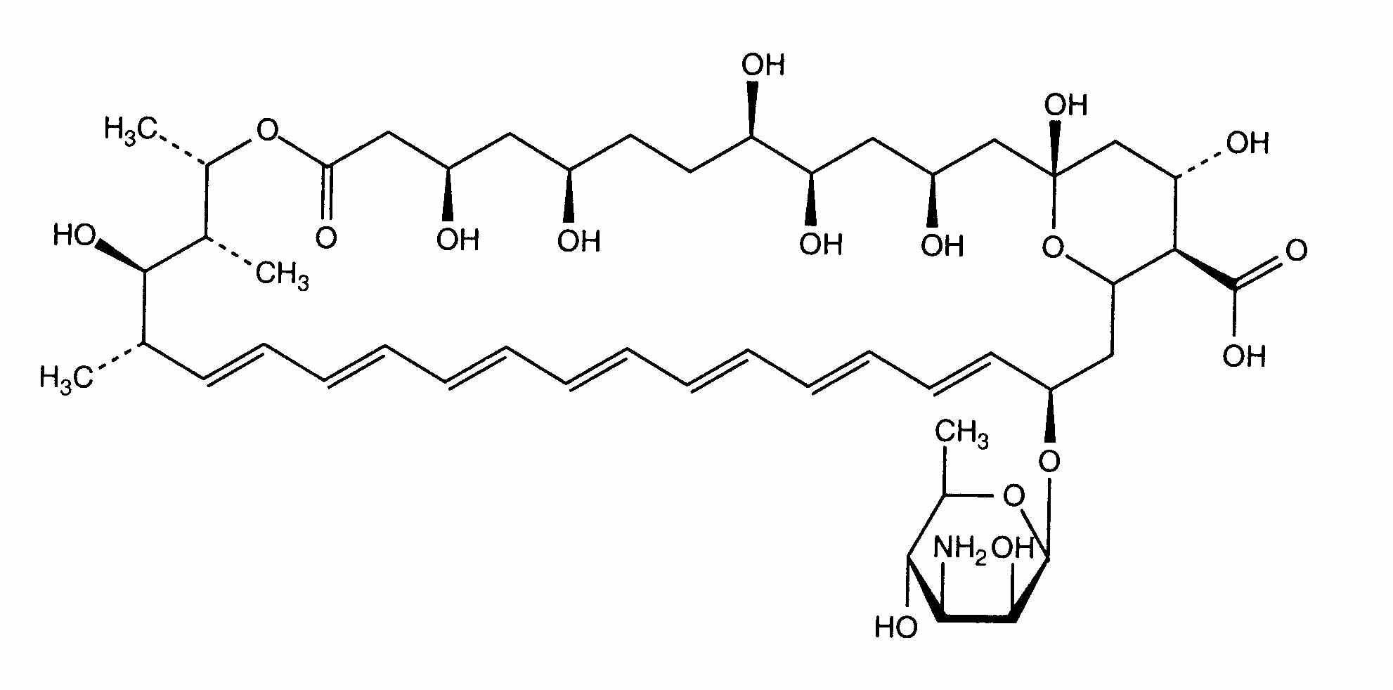
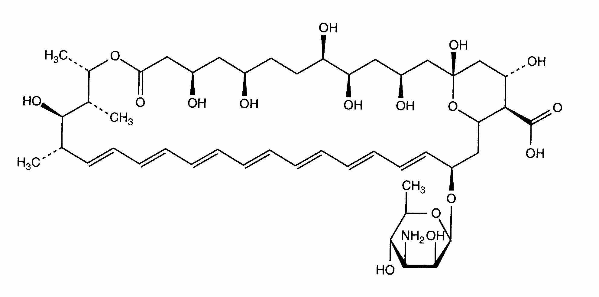
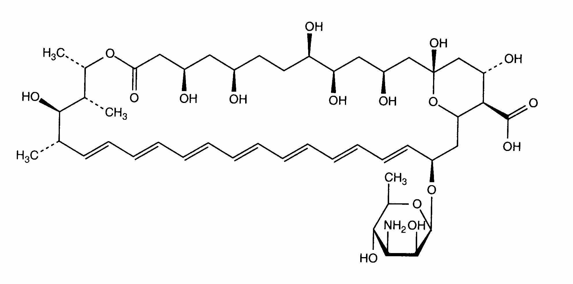
Antifungic   Amphotericin B  
Gargara
Aerosol colir Injectabil Soluţie orală
Stabilitatea preparatelor farmaceutice Stabilitatea in amestec Factorii care influenteaza stabilitatea Compatibilitate Bibliografie pdf
   Formula chimica  

Gargara
Stabilitatea in amestec   Gargara   Stabilitatea in amestec : Amphotericin B     
Absenta de date

  Mentions Légales