آخر تحديث :
27/04/2026
مضاد للفطريات   Amphotericin B  
غسول الفم
الأيروصولات حقن عن طريق الفم  قطرات العين
استقرار المستحضرات الصيدلانية استقرار مخاليط العوامل التي تؤثر على الاستقرار التوافق مراجع pdf
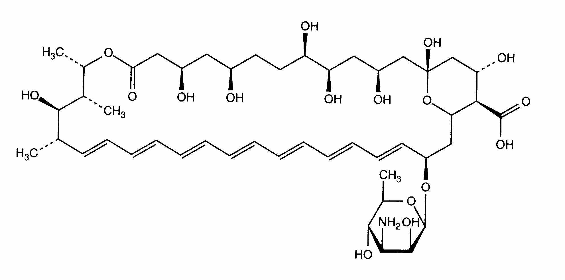
   التركيب الكيميائي  

غسول الفم
استقرار مخاليط   غسول الفم   استقرار مخاليط : Amphotericin B     
لا توجد بيانات

  Mentions Légales