Última actualização :
27/04/2026
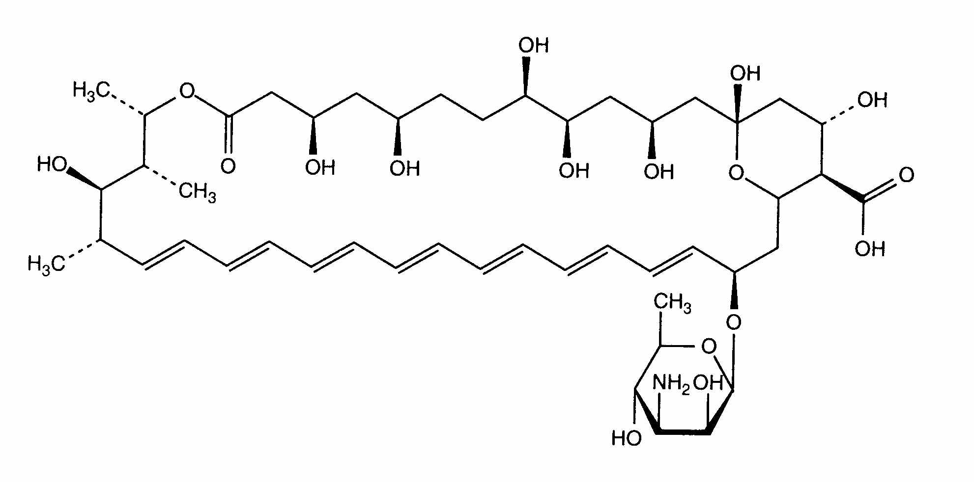
Antifúngico   Amphotericin B  
colutório
aerossol injetável solução oftálmica Solução Oral
Estabilidade de preparações farmacêuticas Estabilidade em misturas Factores que afectam a sua estabilidade Compatibilidade Bibliografía pdf
   estrutura química  

colutório
Estabilidade em misturas   colutório   Estabilidade em misturas : Amphotericin B     
Ausência de dados

  Mentions Légales