viimane versioon :
31/03/2026
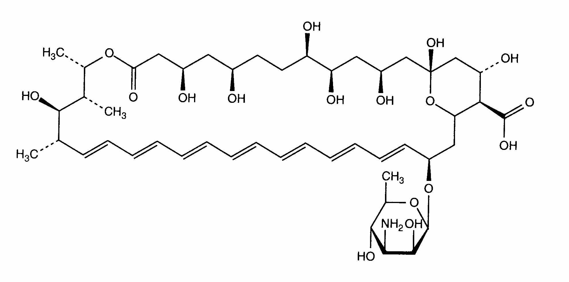
Seenevastane ravim   Amphotericin B  
Suuloputus lahus
aerosool Silmatilgad Süsteravim suukaudne lahus
Stabiilsust ravimpreparaadid Stabiilsust mõjutavad tegurid stabiilsust mõjutavad faktorid Sobimatus Viited pdf
   keemiline struktuur  

Suuloputus lahus
Stabiilsust mõjutavad tegurid   Suuloputus lahus   Stabiilsust mõjutavad tegurid : Amphotericin B     
andmed puuduvad

  Mentions Légales