Poslední aktualizace :
31/03/2026
Priešgrybelinis vaistas   Amphotericin B  
Skystis burnai skalauti
Aerozolis Akių lašai Geriamas tirpalas Įpurškimas
Stabilumas farmacinių preparatų Mišinių stabilumas Stabilumą lemiantys veiksniai Suderinamumas Bibliografija pdf
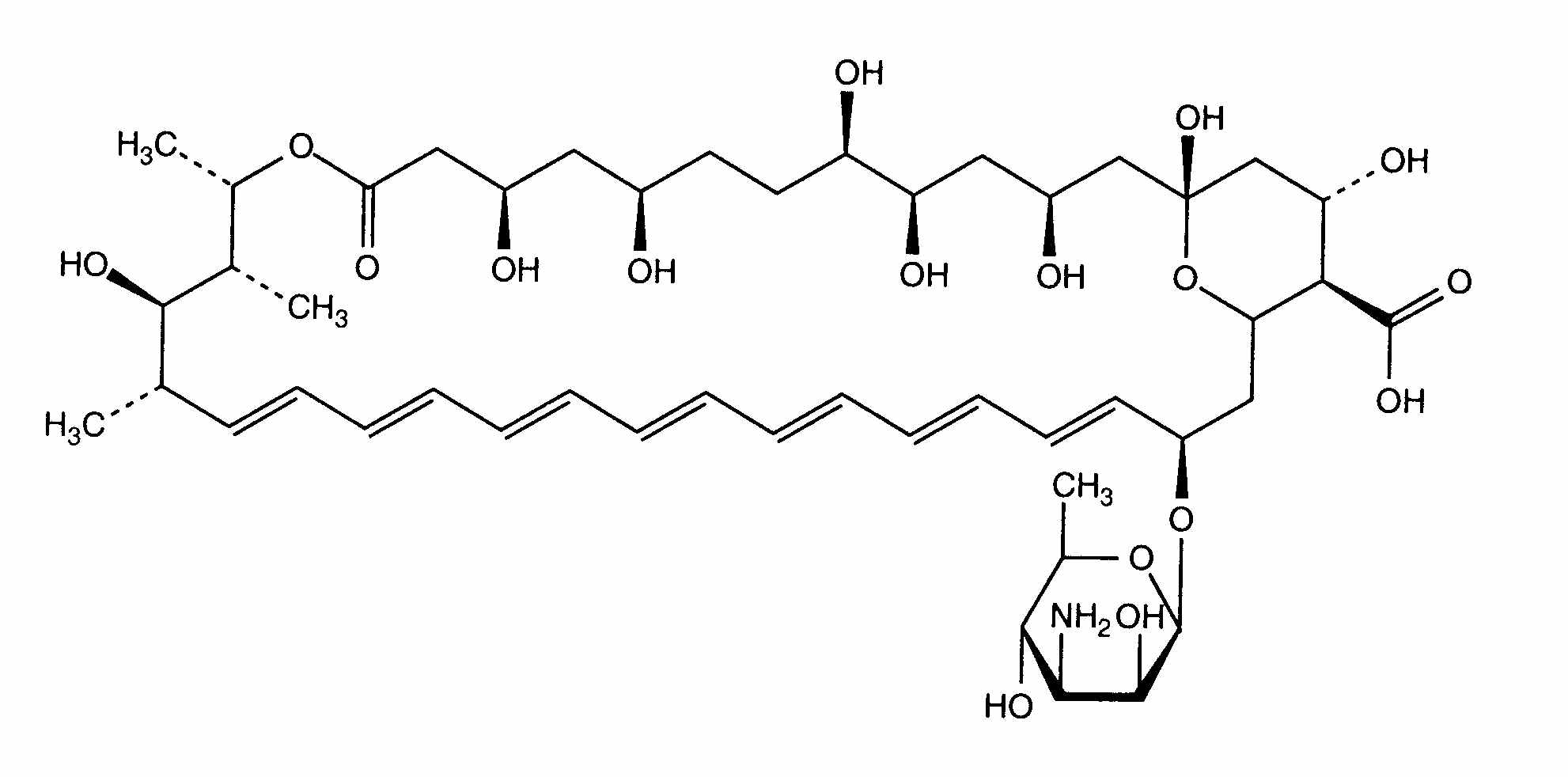
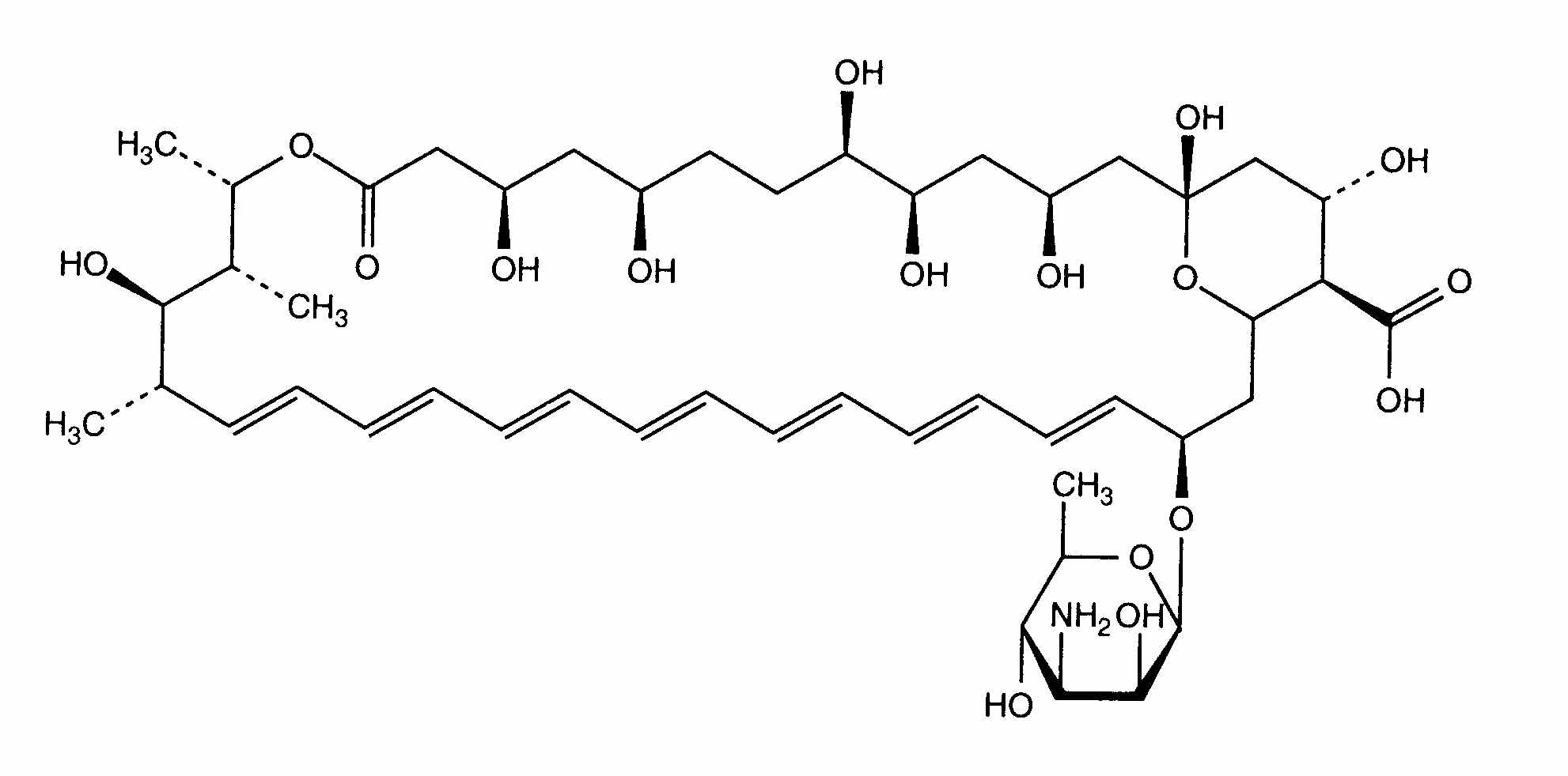
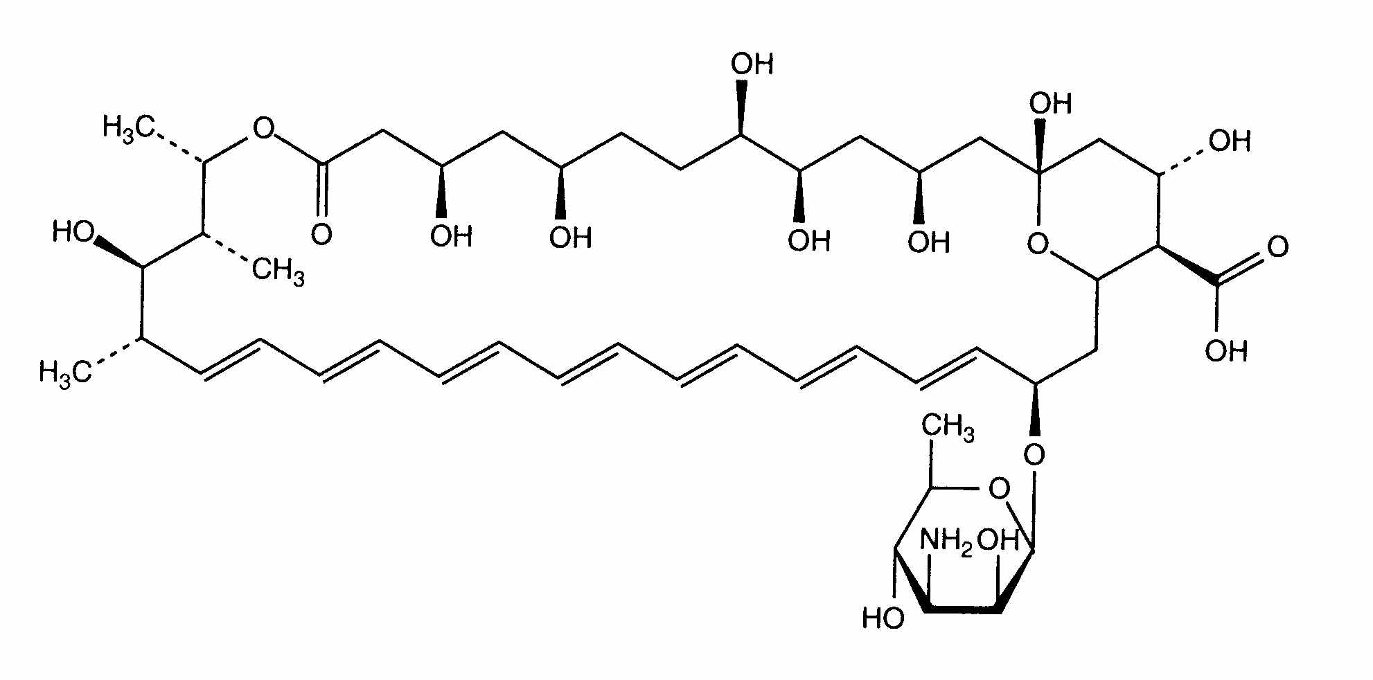
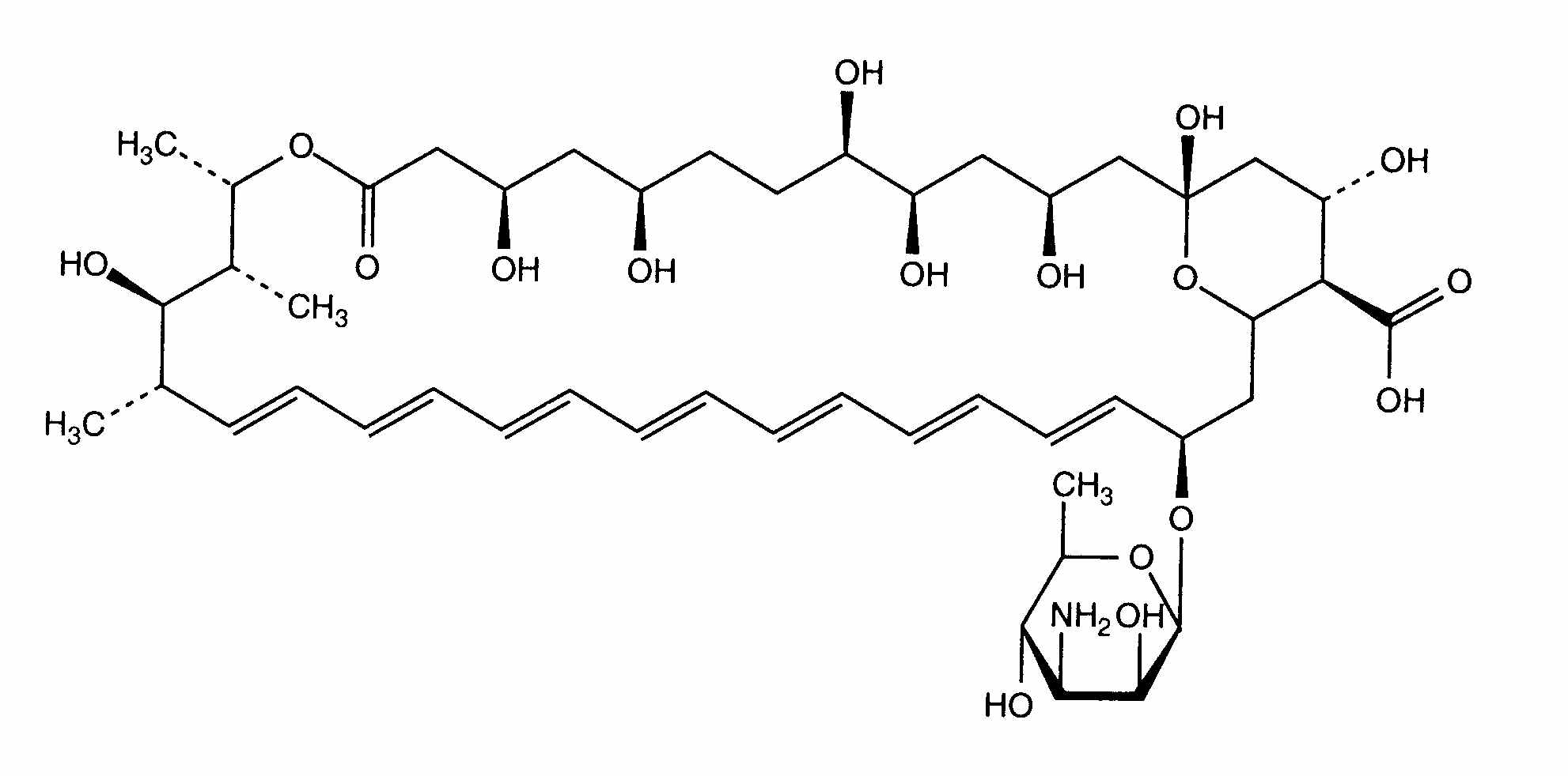
   Cheminė sandara  

Skystis burnai skalauti
Mišinių stabilumas   Skystis burnai skalauti   Mišinių stabilumas : Amphotericin B     
Nėra duomenų

  Mentions Légales