Zadnji put ažurirano :
31/03/2026
antifungicid   Amphotericin B  
otopina za ispiranje usne šupljine
aerosol injekcija kapi za oko oralna otopina
Stabilnost farmaceutskih pripravaka Stabilnost mješavine Stabilizacijski faktor Kompatibilnosti Bibliografija pdf
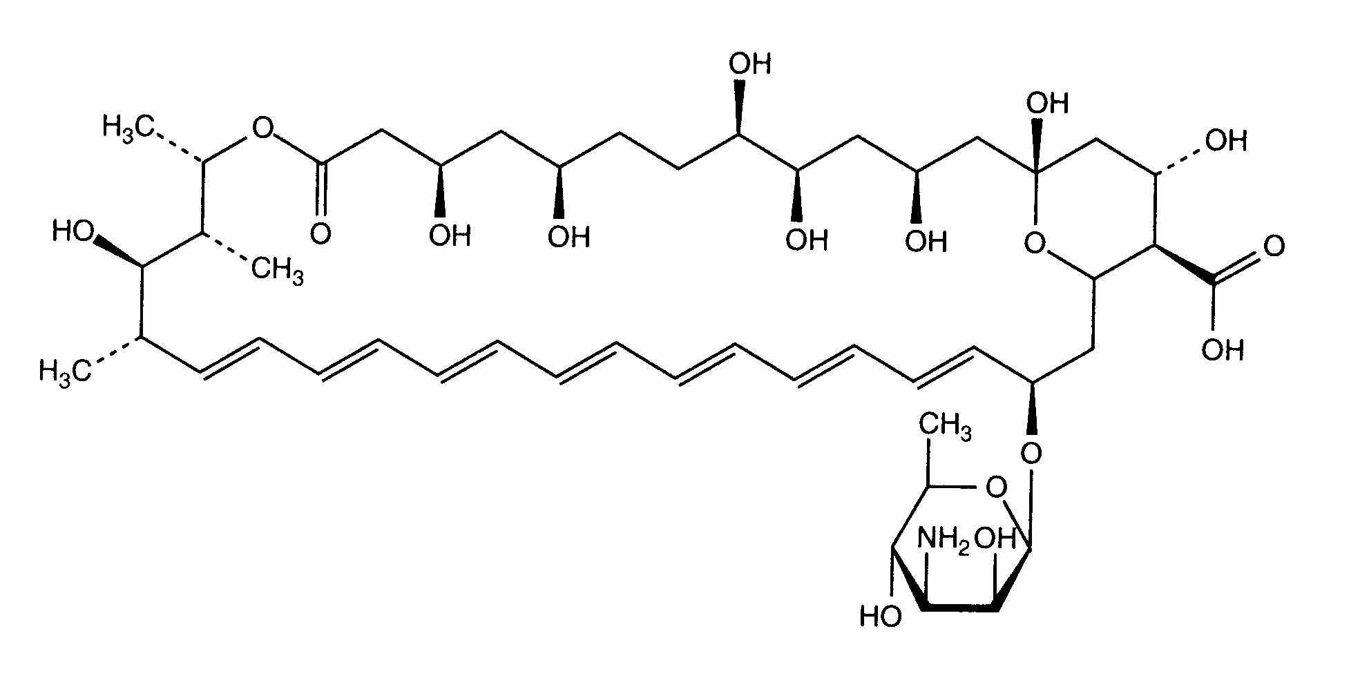
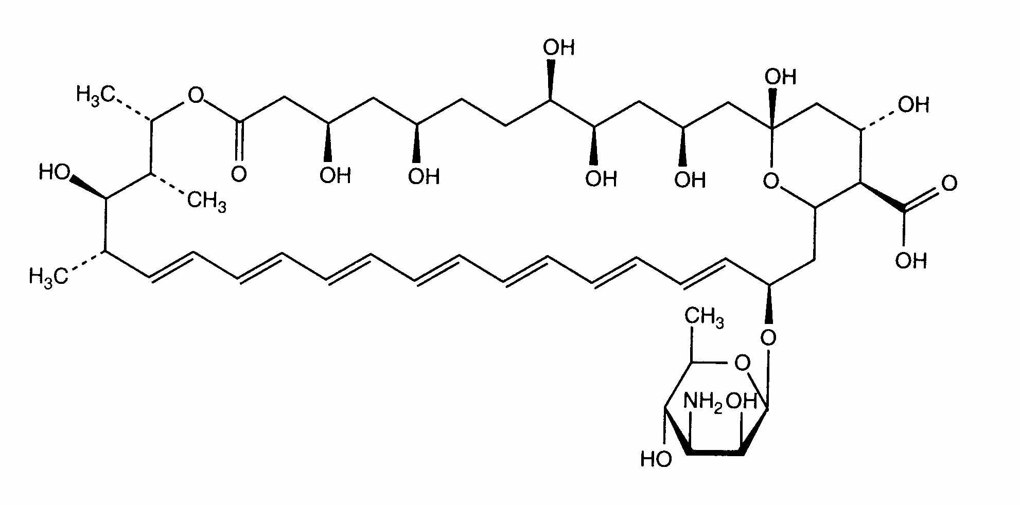
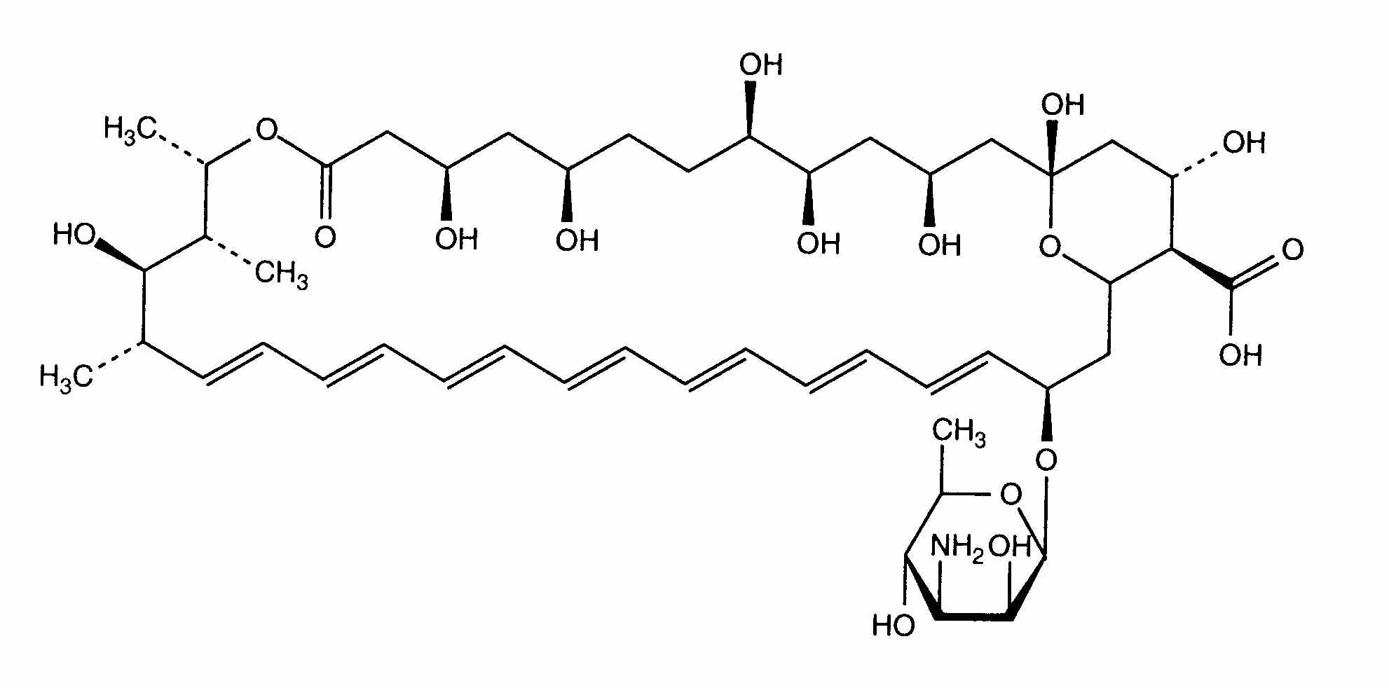
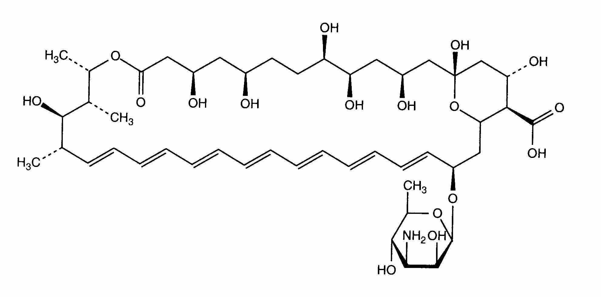
   Kemijska struktura  

otopina za ispiranje usne šupljine
Stabilnost mješavine   otopina za ispiranje usne šupljine   Stabilnost mješavine : Amphotericin B     
bez podataka

  Mentions Légales