Laatste update :
27/04/2026
Antimycoticum   Amphotericin B  
gorgelen
Aerosol injecteerbaar geneesmiddel Oogwater Orale Oplossing
Stabiliteit van farmaceutische preparaten Stabiliteit in mengsels Factoren die de stabiliteit beïnvloeden Verenigbaarheden Literatuur pdf
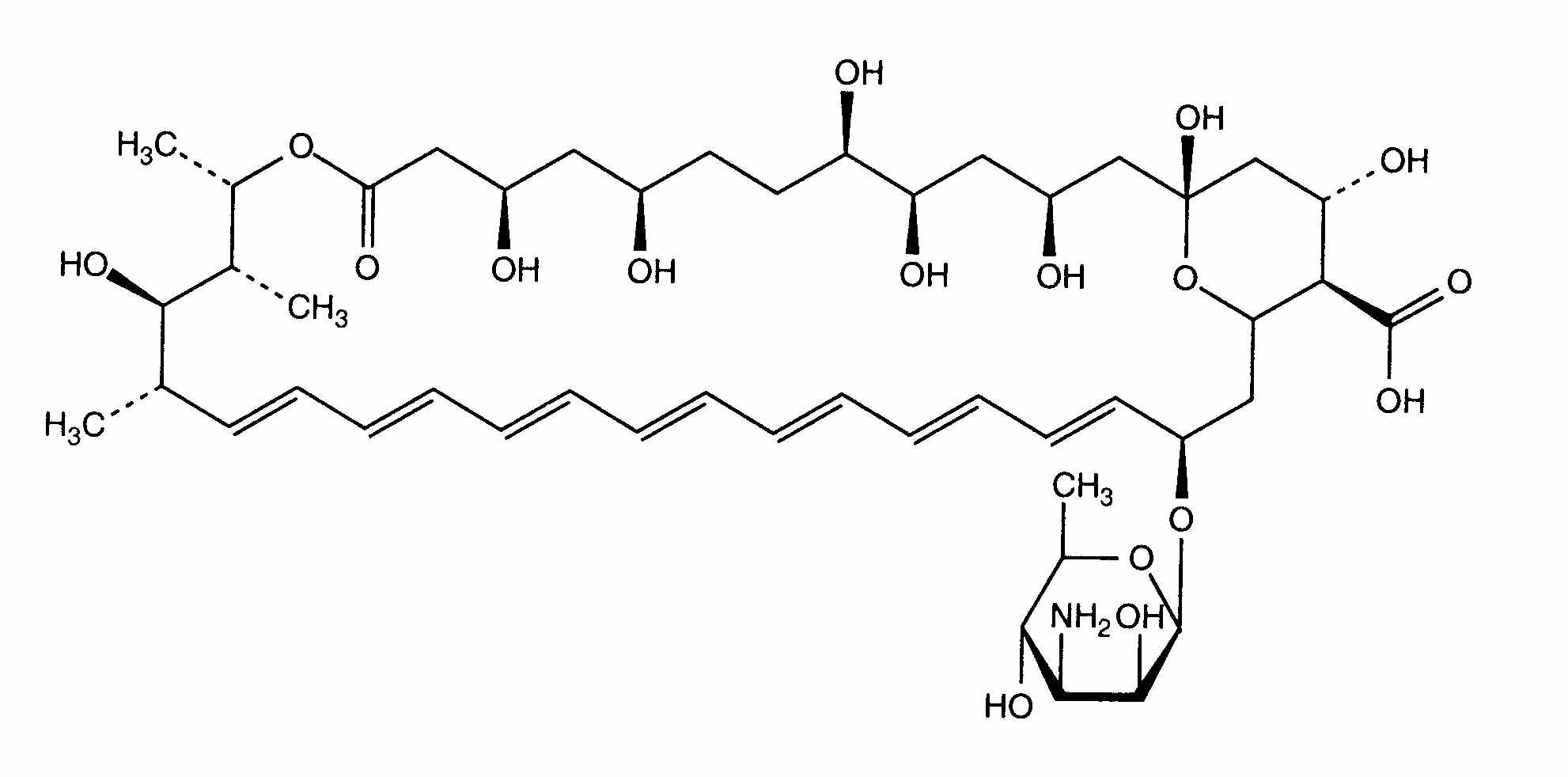
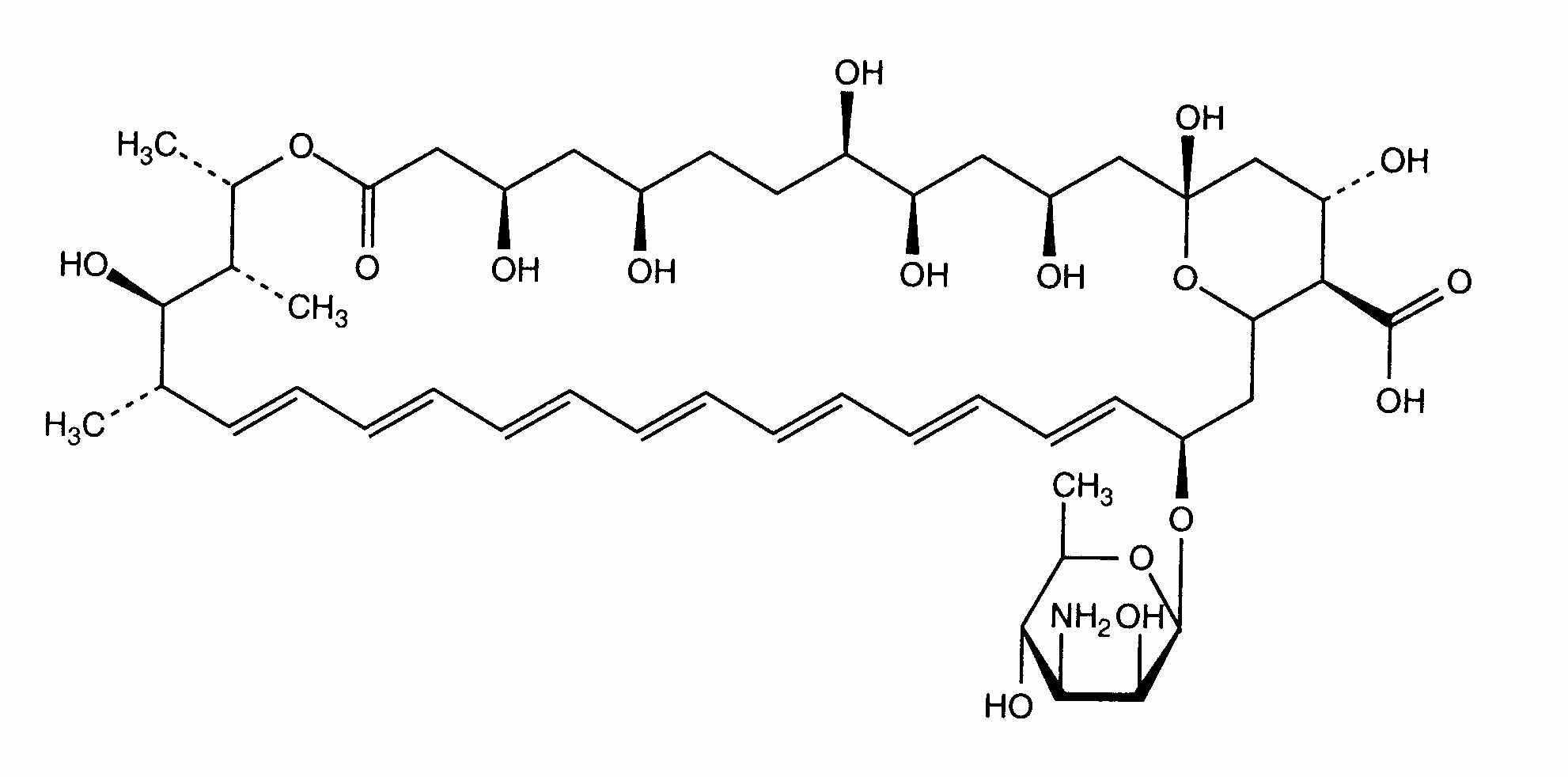
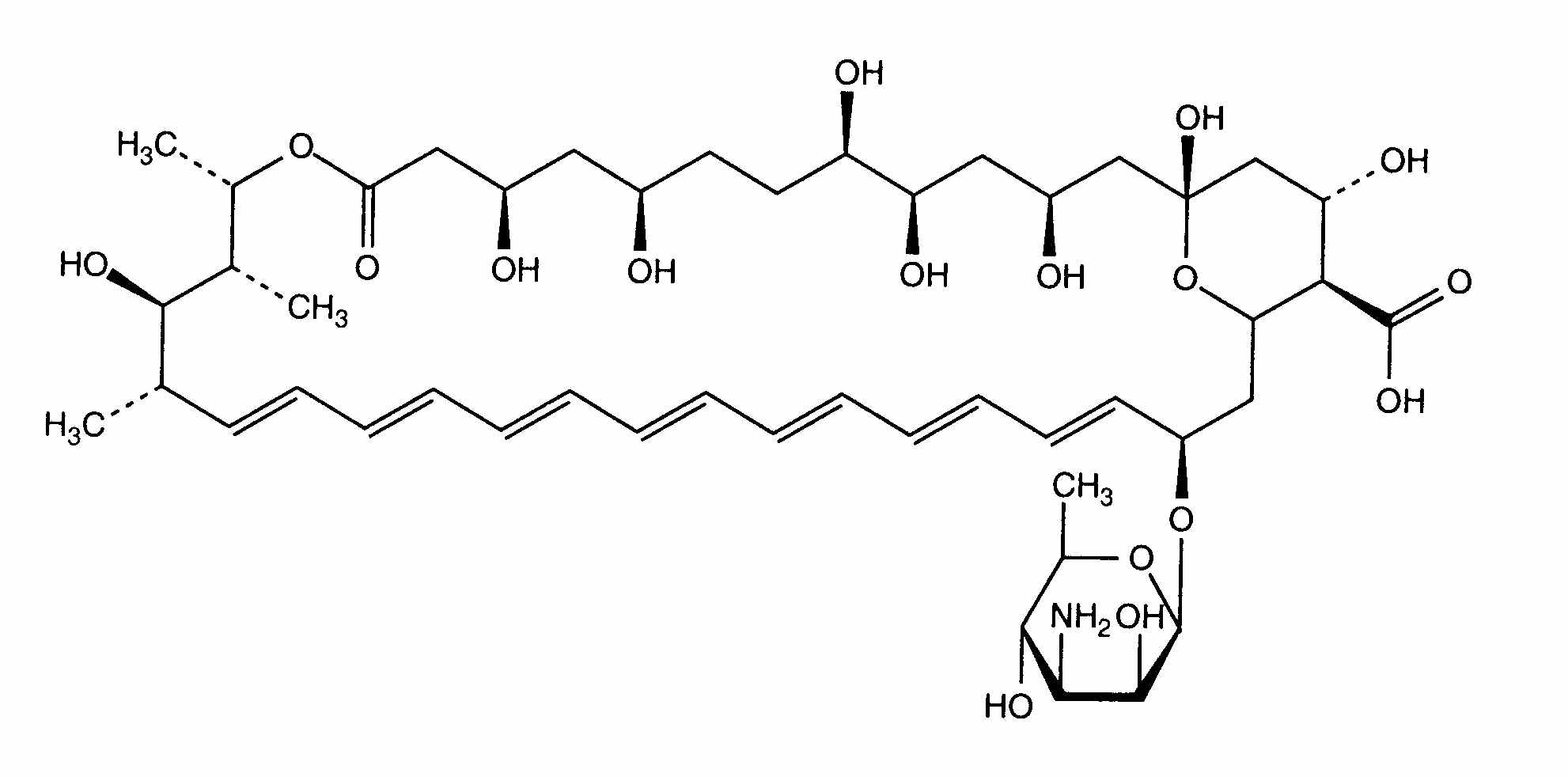
   Molecuulstructuur  

gorgelen
Stabiliteit in mengsels   gorgelen   Stabiliteit in mengsels : Amphotericin B     
geen gegevens

  Mentions Légales