Τελευταία ενημέρωση :
31/03/2026
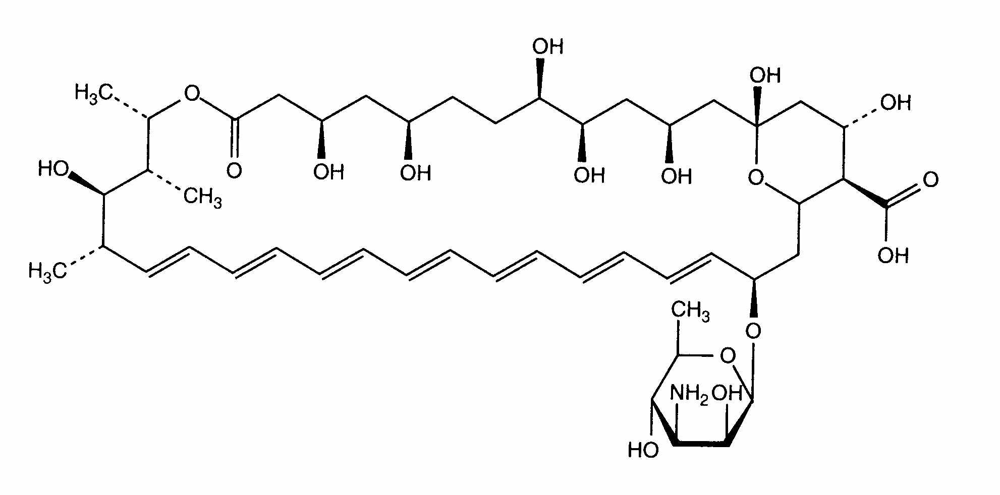
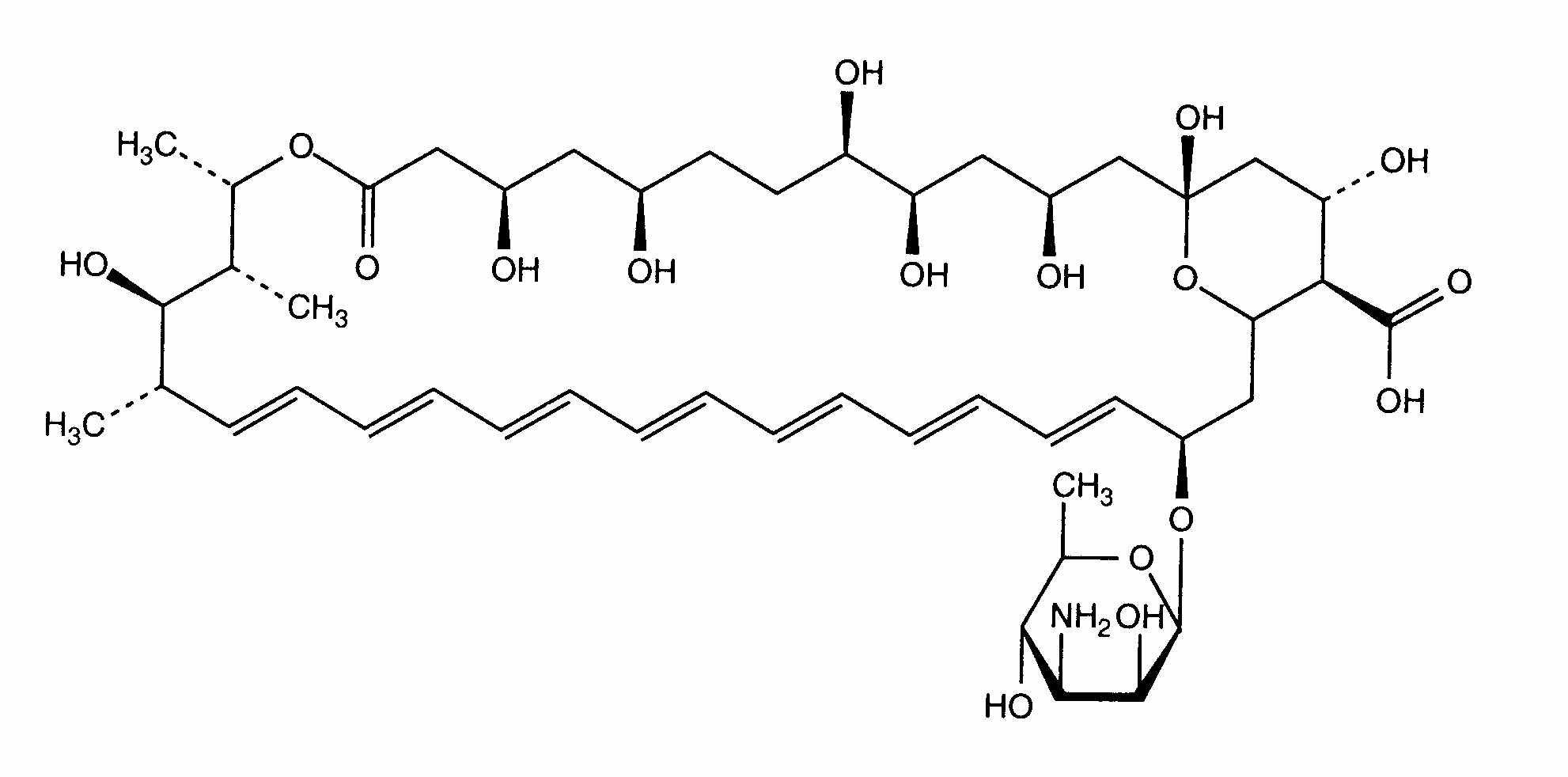
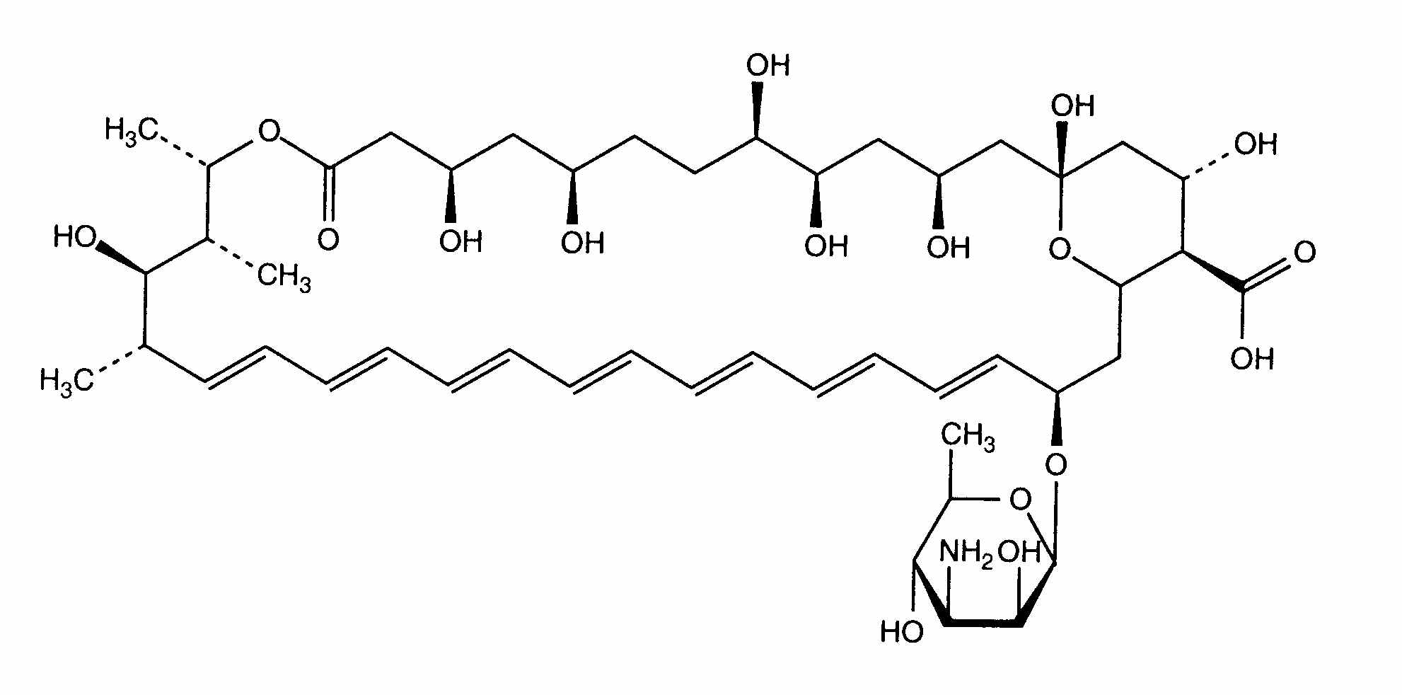
Αντιμυκητικό   Amphotericin B  
Στοματικό διάλυμα
Αεροζόλ Ενέσιμο Οφθαλμικές σταγόνες Πόσιμο διάλυμα
Σταθερότητα και συμβατότητα των φαρμάκων Σταθερότητα σε μίγματα Παράγοντας που επηρεάζει τη σταθερότητα Συμβατότητες Βιβλιογραφία pdf
   χημική δομή  

Στοματικό διάλυμα
Σταθερότητα σε μίγματα   Στοματικό διάλυμα   Σταθερότητα σε μίγματα : Amphotericin B     
Δεν υπάρχουν πληροφορίες

  Mentions Légales