Останнє оновлення :
27/01/2026
Протигрибковий   Amphotericin B  
Ополіскувач ротової порожнини
ін'єкція аерозоль Очні краплі Розчин для перорального застосування
Стабільність фармацевтичних препаратів Стійкість сумішей Фактори, що впливають на стабільність Сумісність Список літератури pdf
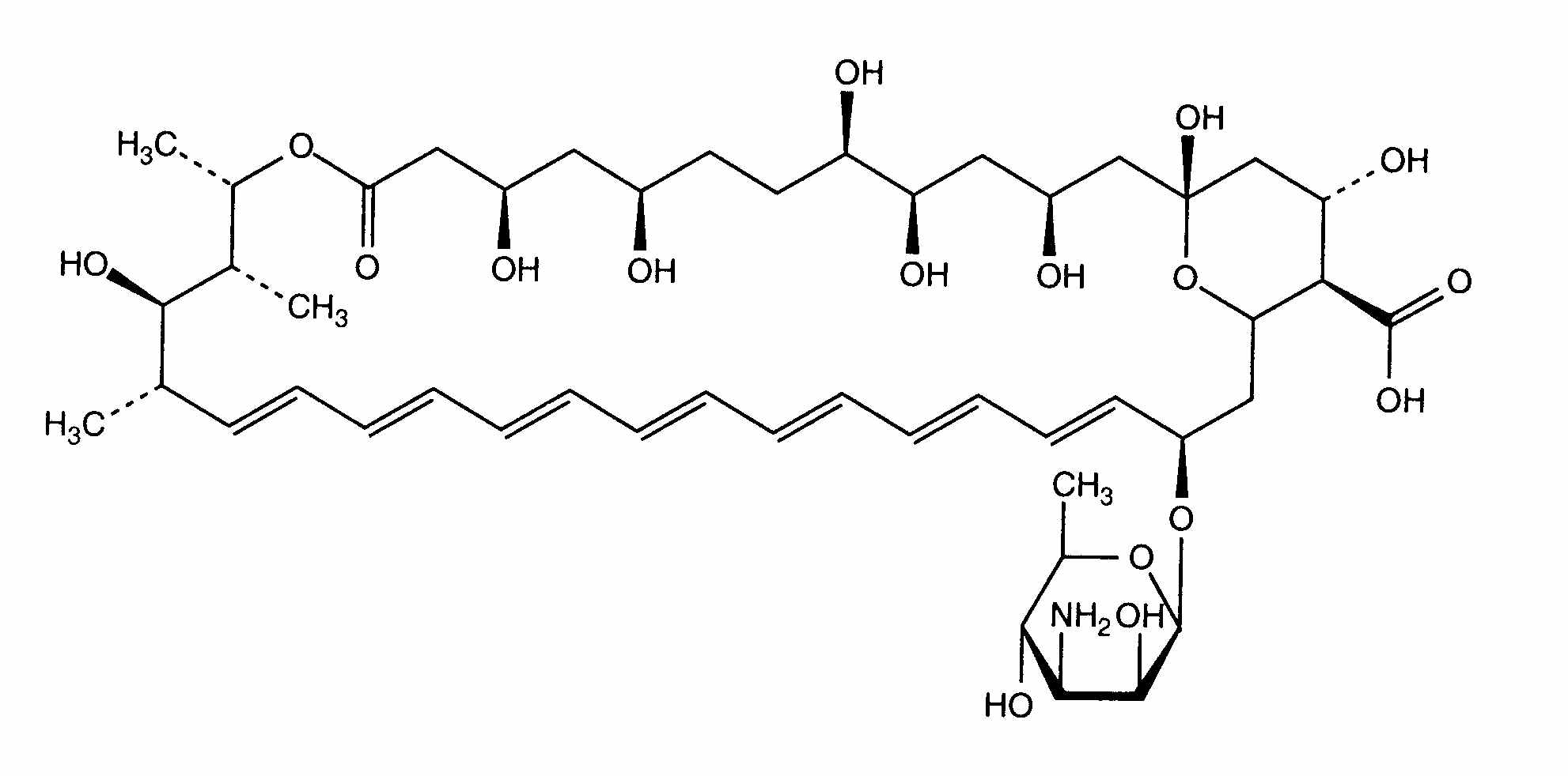
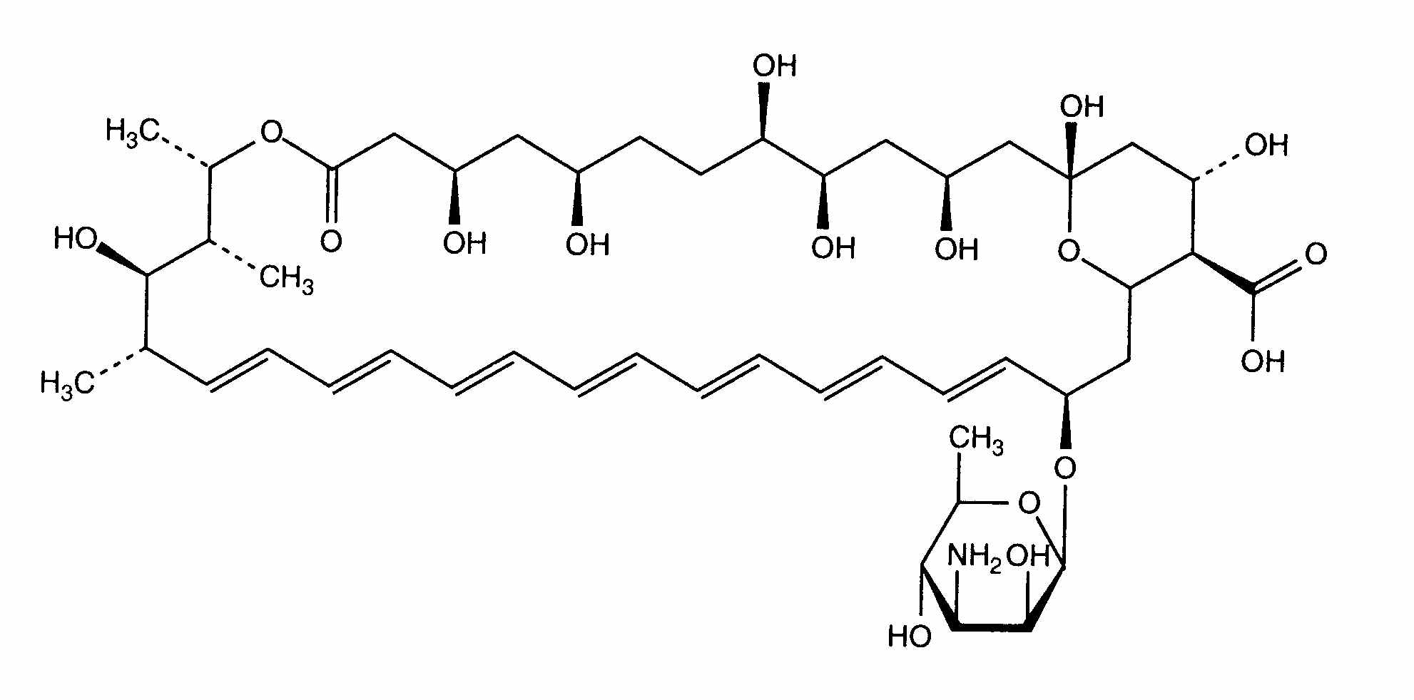
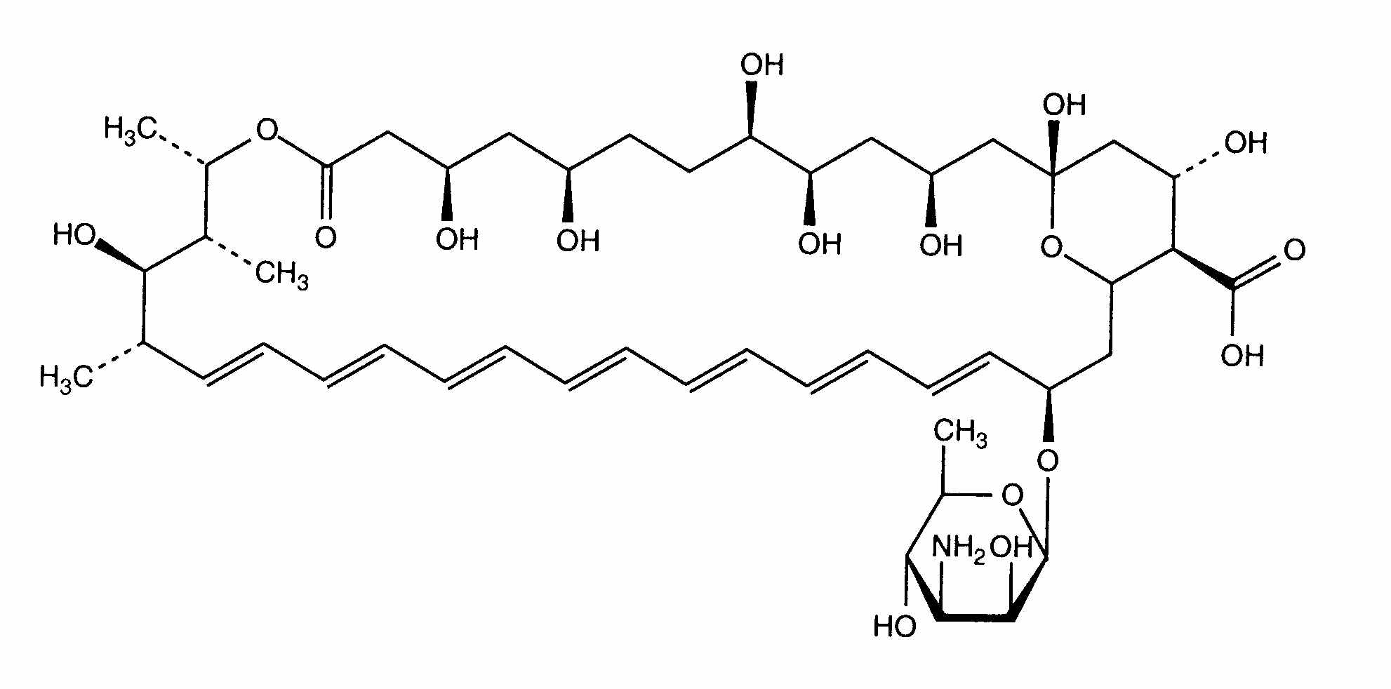
   Хімічна структура  

Ополіскувач ротової порожнини
Стабільність фармацевтичних препаратів   Ополіскувач ротової порожнини   Стабільність фармацевтичних препаратів : Amphotericin B     
Контейнер Origine допоміжна речовина температура Зберігання Тривалість стабільності Список літератури
скло powder 3700 mg
Fungizone®
Бікарбонат натрію 1.4% >> 500 ml
19-23°C Берегти від світла
3 День
2820

Поліпропілен powder 3700 mg
Fungizone®
Бікарбонат натрію 1.4% >> 500 ml
19-23°C Зі світлом чи без
3 День
2820

Поліпропілен powder 3700 mg
Fungizone®
Бікарбонат натрію 1.4% >> 500 ml
4°C Берегти від світла
15 День
2820


  Mentions Légales