Последнее обновление :
05/12/2025
Антибиотик   Tobramycin sulfate  
Аэрозоль
Глазные капли Инъекция Раствор для перорального приёма
Стабильность фармацевтических препаратов Стабильность смесей Факторы, которые влияют на стабильность Совместимость Библиография pdf
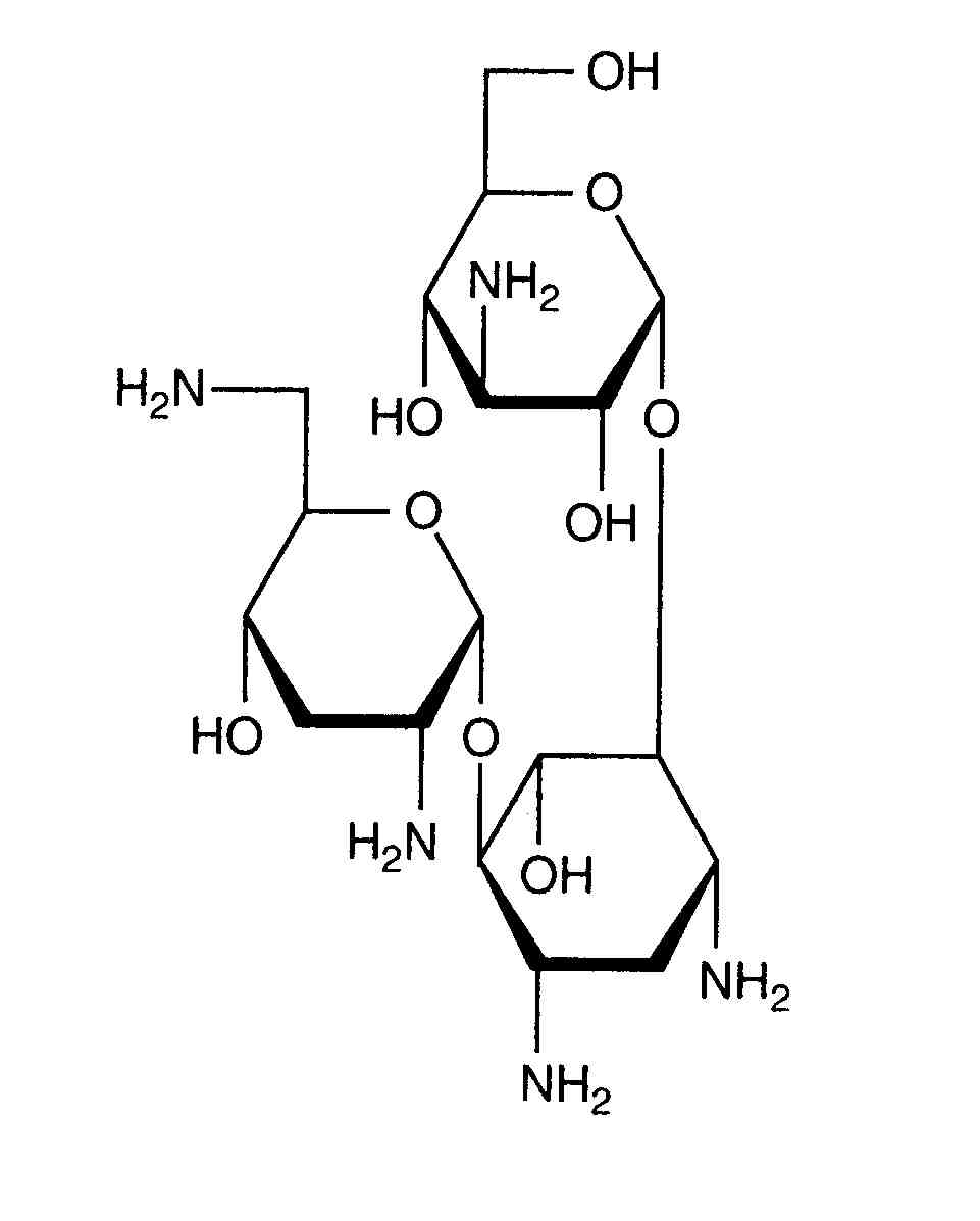
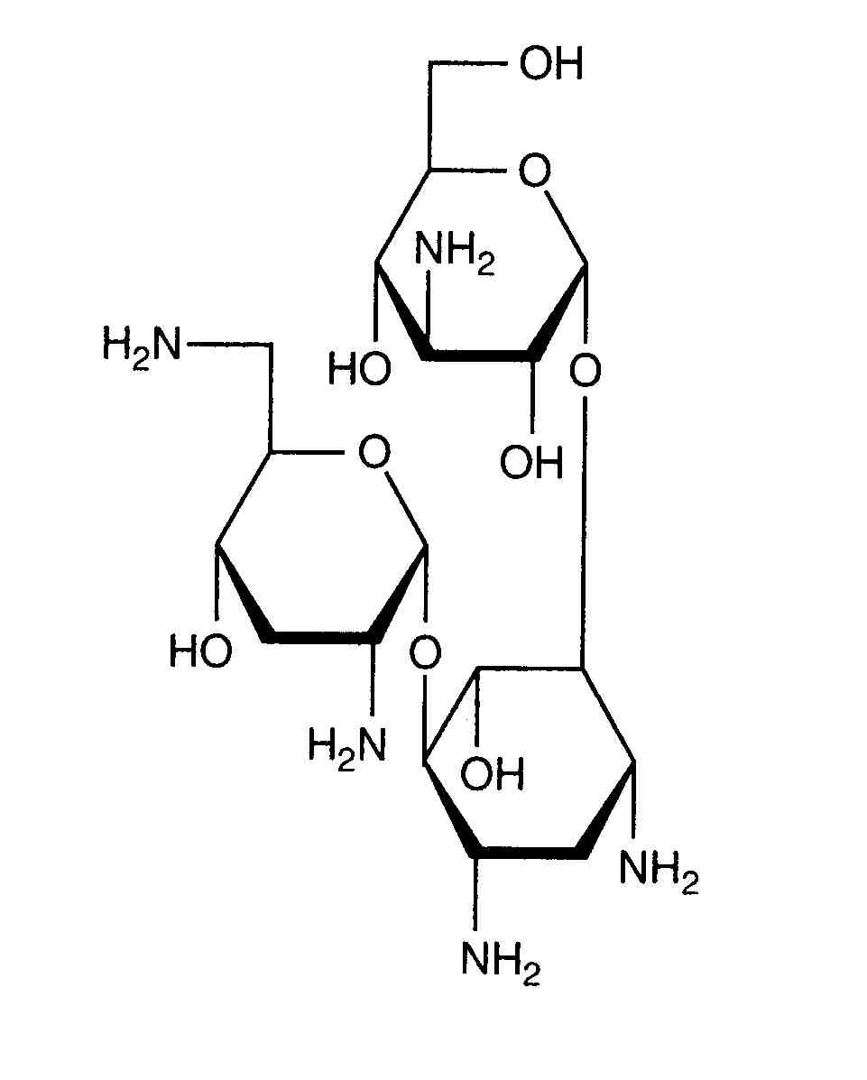
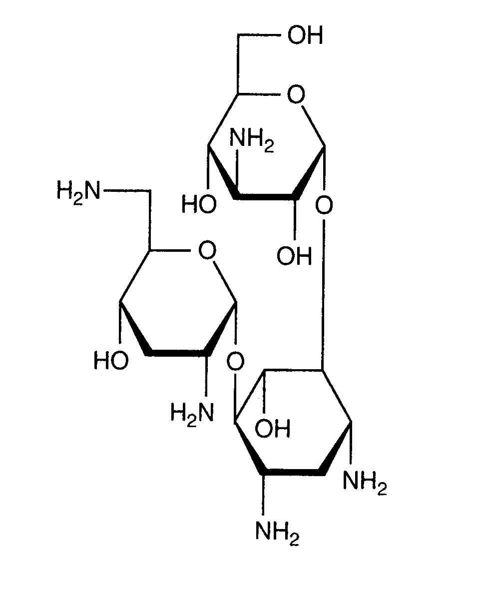
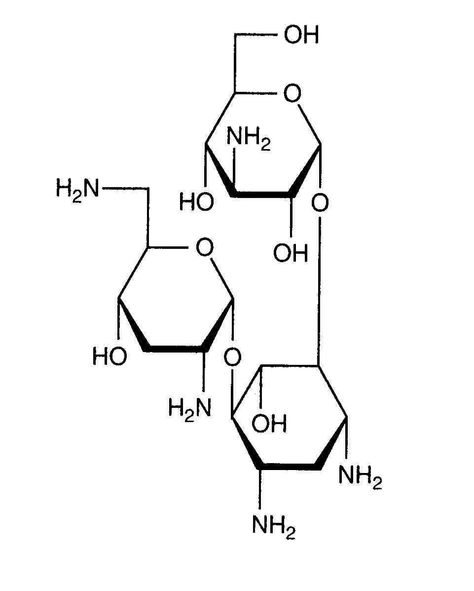
   Химическая структура  

Аэрозоль
Стабильность смесей   Аэрозоль   Стабильность смесей : Tobramycin sulfate     
Упаковка Наполнитель Молекула Температура Хранение Продолжительность стабильности Ссылки
Стекло
Хлорид натрия 0,9% 2 ml
Аэрозоль   Tobramycin sulfate Медицинская бутылка для инъекций40 mg=1   ® = ?
Аэрозоль   Salbutamol sulfate Медицинская бутылка для инъекций2,5 mg=0  ® = ?
4°C
7 День
Не указано 2960
Полипропилен
Аэрозоль   Tobramycin sulfate Медицинская бутылка для инъекций30mg/4 mL  Bramitob® (Asche Chiesi)
Аэрозоль   Colistin mesilate sodium Медицинская бутылка для инъекций80mg/3mL  Colistin CF®
25°C
24 Час
Свет 3440
Полипропилен
Аэрозоль   Tobramycin sulfate Медицинская бутылка для инъекций300mg/5mL  Tobi® (Novartis)
Аэрозоль   Colistin mesilate sodium Медицинская бутылка для инъекций80mg/3mL  Colistin CF®
25°C
24 Час
Свет 3440
Полипропилен
Аэрозоль   Tobramycin sulfate Медицинская бутылка для инъекций300mg/4mL  Bramitob® (Asche Chiesi)
Аэрозоль   Colistin mesilate sodium Медицинская бутылка для инъекций80mg/3mL  Colistin CF®
25°C
24 Час
Свет 3440

  Mentions Légales