Pēdējā atjaunošana :
27/04/2026
Antibiotika   Tobramycin sulfate  
Aerosols
Acu pilieni Injekcija Orāls šķīdums
Stabilitāte farmaceitisko preparātu Maisījuma stabilitāte Stabilitāti ietekmējoši faktori Saderība Literatūras saraksts pdf
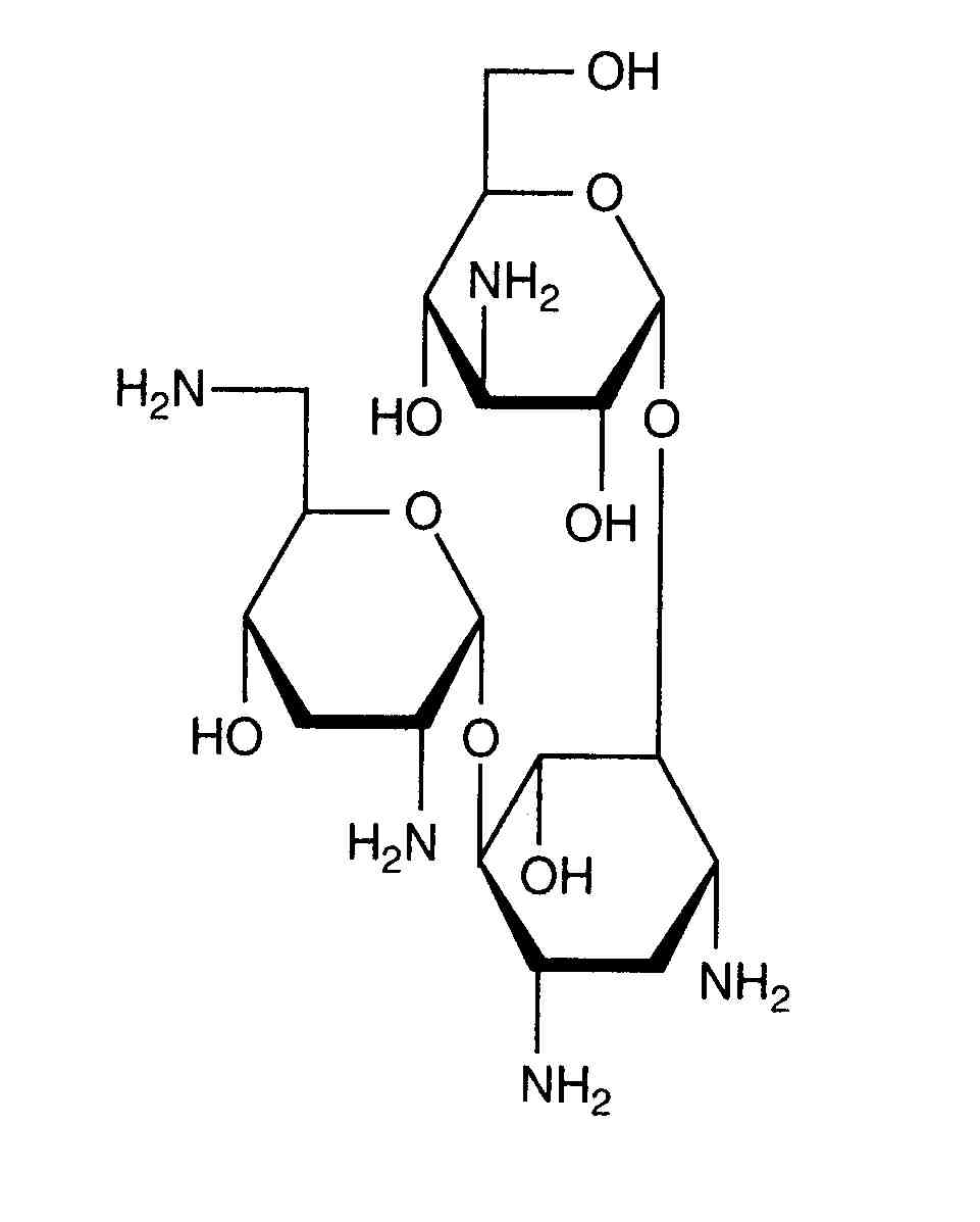
   Ķīmiskā uzbūve   

Aerosols
Maisījuma stabilitāte   Aerosols   Maisījuma stabilitāte : Tobramycin sulfate     
Iepakojums Palīgviela Savienojums Temperatūra Glabāšana Stabilitātes ilgums Literatūras saraksts
Stikls
NaCl 0.9% 2 ml
Aerosols   Tobramycin sulfate Medicīniskā pudele injekcijām40 mg=1   ® = ?
Aerosols   Salbutamol sulfate Medicīniskā pudele injekcijām2,5 mg=0  ® = ?
4°C
7 Diena
Nav specifisks 2960
Polipropilēns
Aerosols   Tobramycin sulfate Medicīniskā pudele injekcijām30mg/4 mL  Bramitob® (Asche Chiesi)
Aerosols   Colistin mesilate sodium Medicīniskā pudele injekcijām80mg/3mL  Colistin CF®
25°C
24 Stunda
Gaisma 3440
Polipropilēns
Aerosols   Tobramycin sulfate Medicīniskā pudele injekcijām300mg/5mL  Tobi® (Novartis)
Aerosols   Colistin mesilate sodium Medicīniskā pudele injekcijām80mg/3mL  Colistin CF®
25°C
24 Stunda
Gaisma 3440
Polipropilēns
Aerosols   Tobramycin sulfate Medicīniskā pudele injekcijām300mg/4mL  Bramitob® (Asche Chiesi)
Aerosols   Colistin mesilate sodium Medicīniskā pudele injekcijām80mg/3mL  Colistin CF®
25°C
24 Stunda
Gaisma 3440

  Mentions Légales