Ultimele actualizari :
27/04/2026
Antibiotic   Tobramycin sulfate  
Aerosol
colir Injectabil Soluţie orală
Stabilitatea preparatelor farmaceutice Stabilitatea in amestec Factorii care influenteaza stabilitatea Compatibilitate Bibliografie pdf
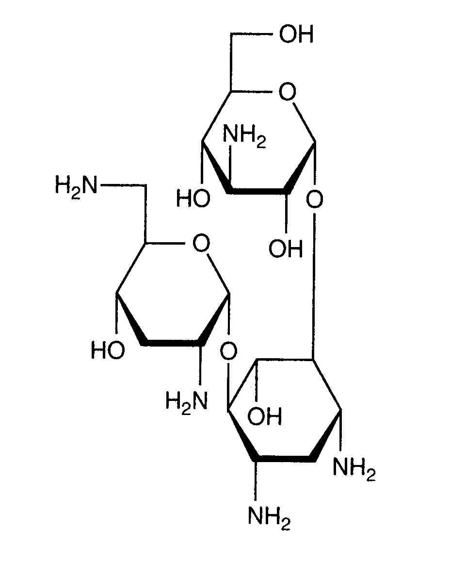
   Formula chimica  

Aerosol
Stabilitatea in amestec   Aerosol   Stabilitatea in amestec : Tobramycin sulfate     
Continut Excipient Molecula (substanta activa) Temperatura Conservare Durata stabilității Bibiografie
sticla
NaCl 0.9% 2 ml
Aerosol   Tobramycin sulfate Flacon Flacon pentru medicament injectabil pentru injecţie40 mg=1   ® = ?
Aerosol   Salbutamol sulfate Flacon Flacon pentru medicament injectabil pentru injecţie2,5 mg=0  ® = ?
4°C
7 Ziua
Neprecizat 2960
polipropilen
Aerosol   Tobramycin sulfate Flacon Flacon pentru medicament injectabil pentru injecţie30mg/4 mL  Bramitob® (Asche Chiesi)
Aerosol   Colistin mesilate sodium Flacon Flacon pentru medicament injectabil pentru injecţie80mg/3mL  Colistin CF®
25°C
24 Ora
Lumina 3440
polipropilen
Aerosol   Tobramycin sulfate Flacon Flacon pentru medicament injectabil pentru injecţie300mg/5mL  Tobi® (Novartis)
Aerosol   Colistin mesilate sodium Flacon Flacon pentru medicament injectabil pentru injecţie80mg/3mL  Colistin CF®
25°C
24 Ora
Lumina 3440
polipropilen
Aerosol   Tobramycin sulfate Flacon Flacon pentru medicament injectabil pentru injecţie300mg/4mL  Bramitob® (Asche Chiesi)
Aerosol   Colistin mesilate sodium Flacon Flacon pentru medicament injectabil pentru injecţie80mg/3mL  Colistin CF®
25°C
24 Ora
Lumina 3440

  Mentions Légales