Poslední aktualizace :
27/04/2026
Antibiotikum   Tobramycin sulfate  
Aerosol
Humbuk injekce Perorální roztok
Stabilita farmaceutických přípravků Stabilita směsí Faktory ovlivňující stabilitu Kompatibilita Odkazy pdf
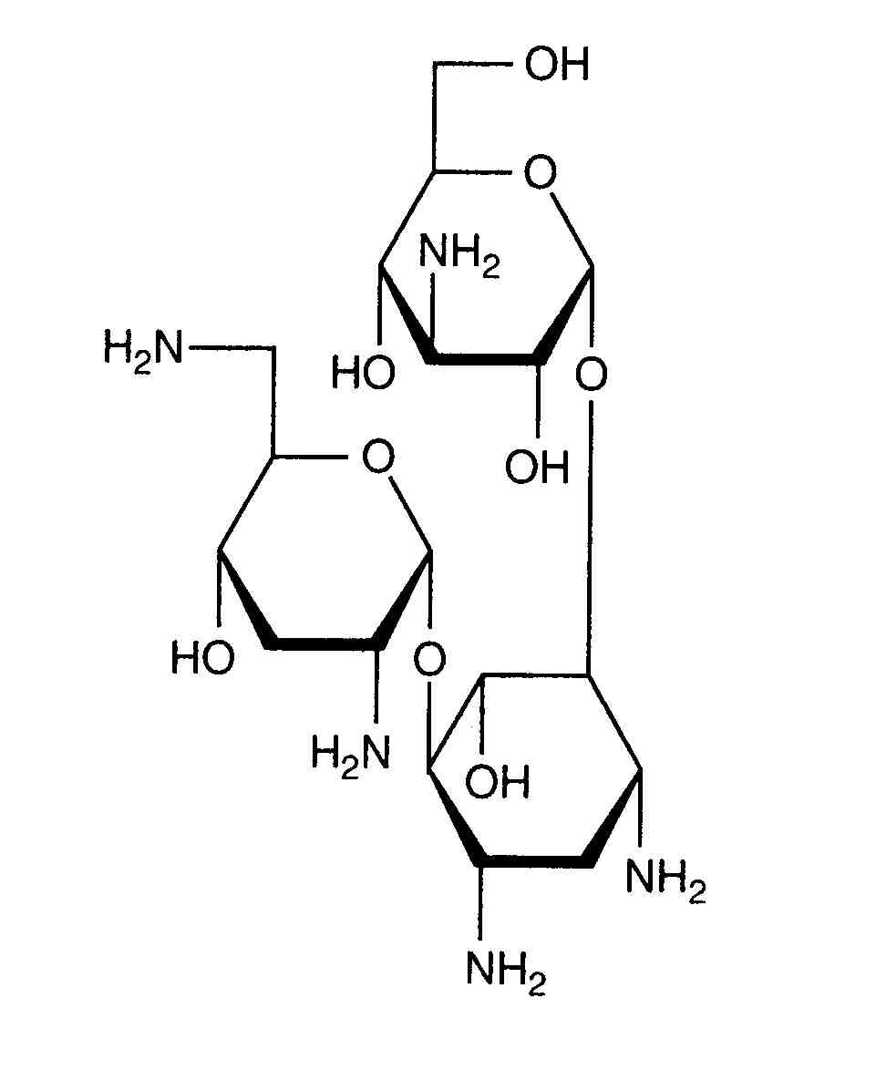
   Chemický vzorec  

Aerosol
Stabilita směsí   Aerosol   Stabilita směsí : Tobramycin sulfate     
Obal Pomocné látky SlouËenina Teplota Uchovávání Trvání stability Odkazy
Sklo
NaCl 0.9% 2 ml
Aerosol   Tobramycin sulfate Lékovka pro injekci40 mg=1   ® = ?
Aerosol   Salbutamol sulfate Lékovka pro injekci2,5 mg=0  ® = ?
4°C
7 Den
Nespecifikováno 2960
polypropylen
Aerosol   Tobramycin sulfate Lékovka pro injekci30mg/4 mL  Bramitob® (Asche Chiesi)
Aerosol   Colistin mesilate sodium Lékovka pro injekci80mg/3mL  Colistin CF®
25°C
24 Hodina
SvÏtlo 3440
polypropylen
Aerosol   Tobramycin sulfate Lékovka pro injekci300mg/5mL  Tobi® (Novartis)
Aerosol   Colistin mesilate sodium Lékovka pro injekci80mg/3mL  Colistin CF®
25°C
24 Hodina
SvÏtlo 3440
polypropylen
Aerosol   Tobramycin sulfate Lékovka pro injekci300mg/4mL  Bramitob® (Asche Chiesi)
Aerosol   Colistin mesilate sodium Lékovka pro injekci80mg/3mL  Colistin CF®
25°C
24 Hodina
SvÏtlo 3440

  Mentions Légales