Last update :
27/04/2026
Antibiotic   Tobramycin sulfate  
aerosol
Eye-drops injection Oral solution
Stability of pharmaceutical preparations Stability of mixtures Factors which affect stability Compatibility References pdf
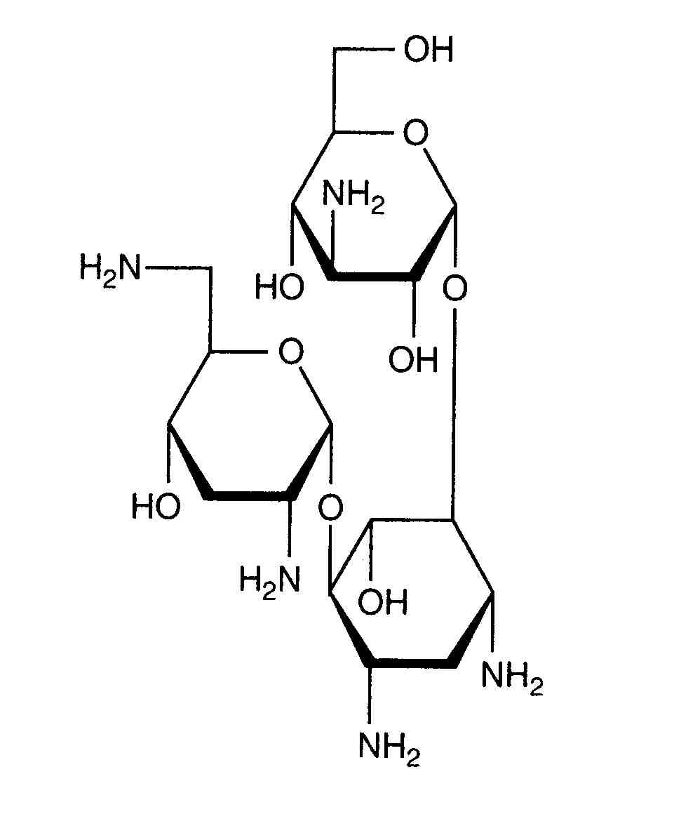
   Chemical structure  

aerosol
Stability of mixtures   aerosol   Stability of mixtures : Tobramycin sulfate     
Container excipient Compound Temperature Storage Duration of stability References
Glass
NaCl 0.9% 2 ml
aerosol   Tobramycin sulfate Medicine bottle for injection40 mg=1   ® = ?
aerosol   Salbutamol sulfate Medicine bottle for injection2,5 mg=0  ® = ?
4°C
7 Day
Not specified 2960
Polypropylene
aerosol   Tobramycin sulfate Medicine bottle for injection30mg/4 mL  Bramitob® (Asche Chiesi)
aerosol   Colistin mesilate sodium Medicine bottle for injection80mg/3mL  Colistin CF®
25°C
24 Hour
Light 3440
Polypropylene
aerosol   Tobramycin sulfate Medicine bottle for injection300mg/5mL  Tobi® (Novartis)
aerosol   Colistin mesilate sodium Medicine bottle for injection80mg/3mL  Colistin CF®
25°C
24 Hour
Light 3440
Polypropylene
aerosol   Tobramycin sulfate Medicine bottle for injection300mg/4mL  Bramitob® (Asche Chiesi)
aerosol   Colistin mesilate sodium Medicine bottle for injection80mg/3mL  Colistin CF®
25°C
24 Hour
Light 3440

  Mentions Légales