Dernière mise à jour :
21/01/2026
Antibiotique   Tobramycin sulfate  
Aérosol
Collyre injectable Solution buvable
Stabilité des préparations Stabilité en mélange Facteur influençant la stabilité Compatibilités Bibliographie pdf
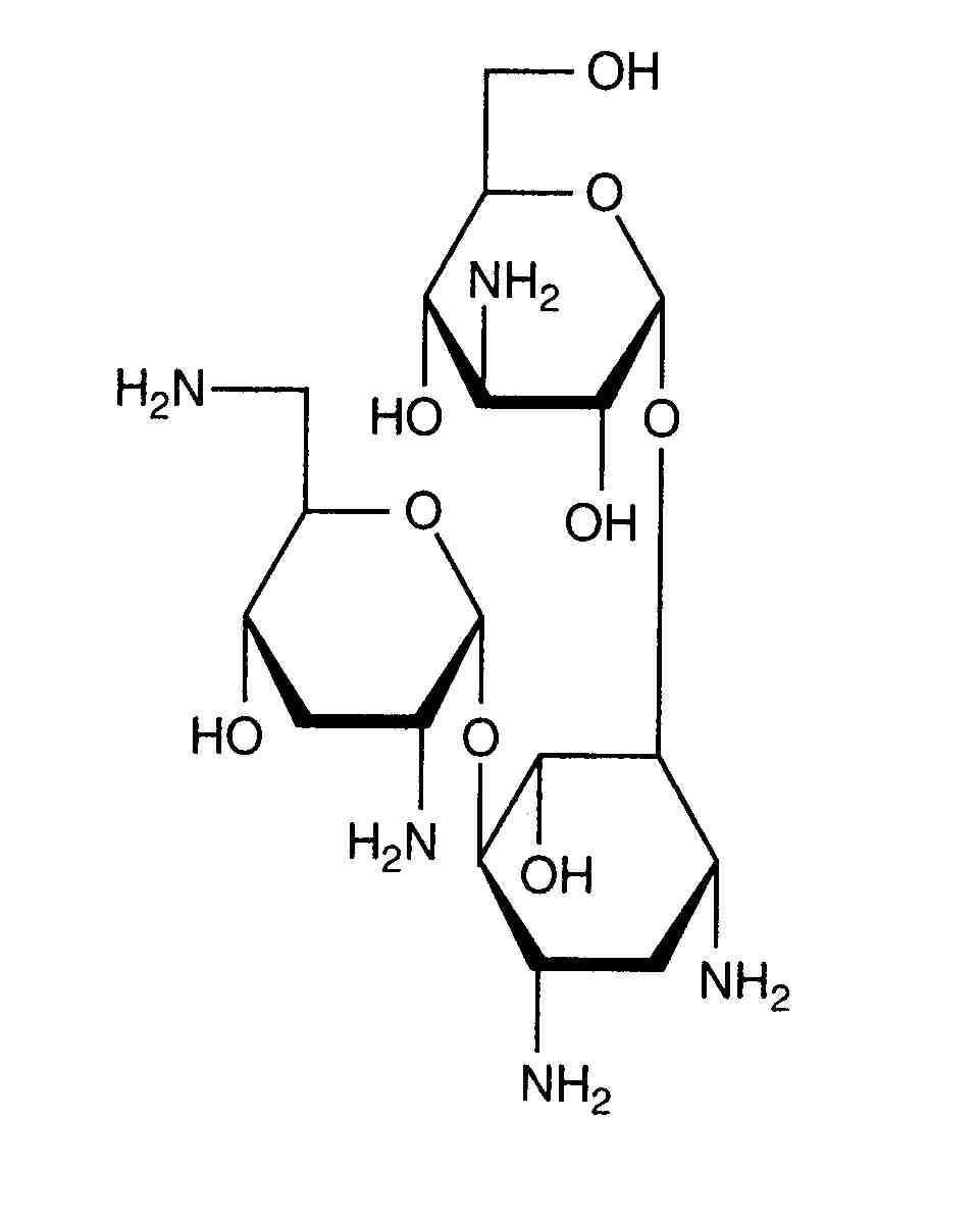
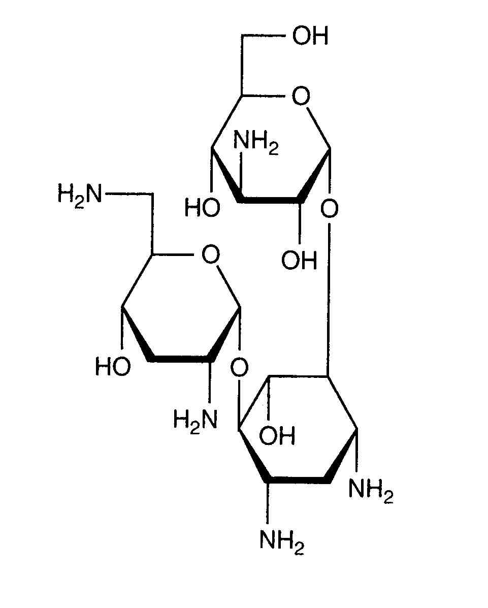
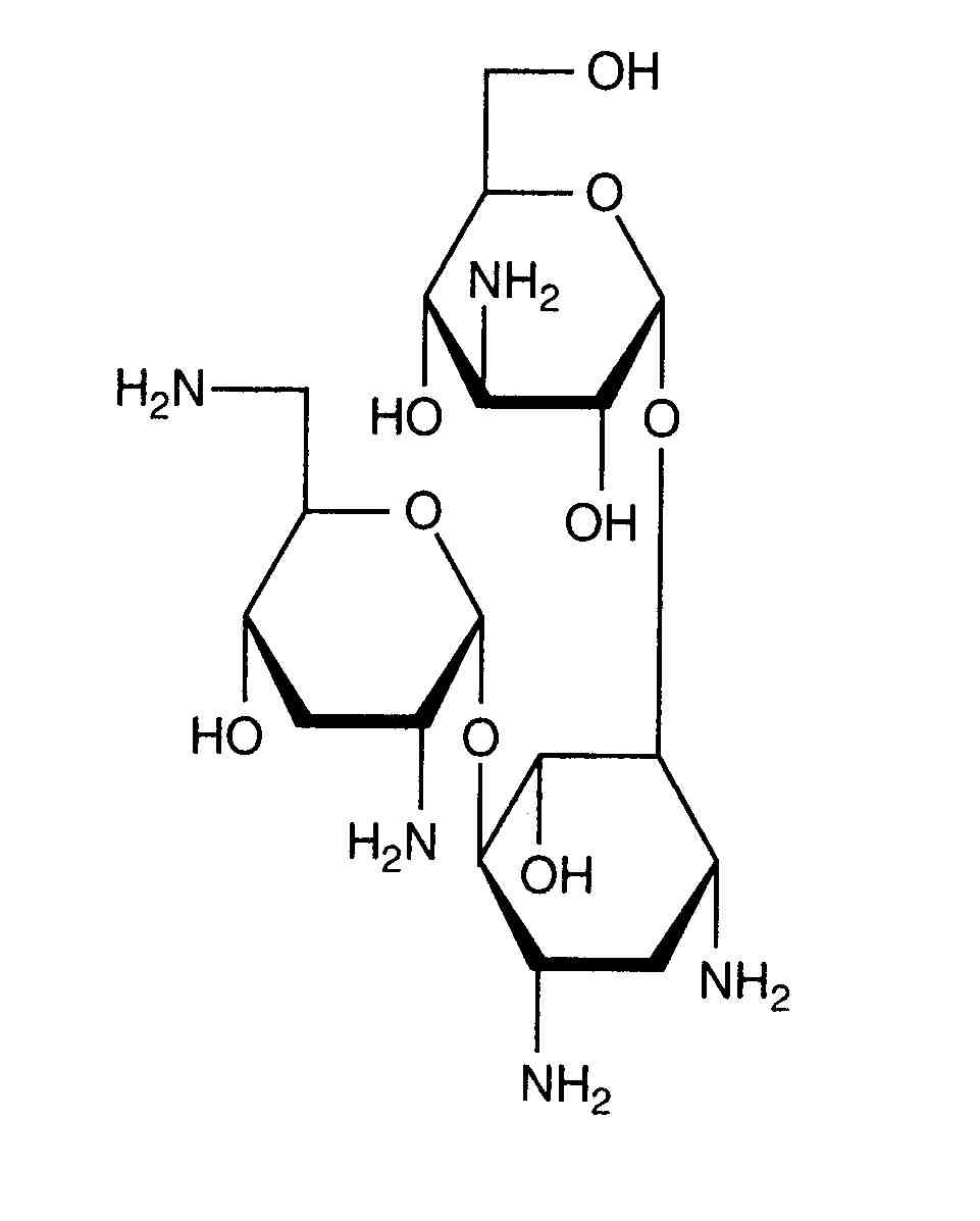
   Structure chimique  

Aérosol
Stabilité en mélange   Aérosol   Stabilité en mélange : Tobramycin sulfate     
Contenant Excipient Molécule Température Conservation Durée de stabilité Bibliographie
Verre
NaCl 0.9% 2 ml
Aérosol   Tobramycin sulfate Flacon injectable40 mg=1   ® = ?
Aérosol   Salbutamol sulfate Flacon injectable2,5 mg=0  ® = ?
4°C
7 Jour
Non précisée 2960
Polypropylène
Aérosol   Tobramycin sulfate Flacon injectable30mg/4 mL  Bramitob® (Asche Chiesi)
Aérosol   Colistin mesilate sodium Flacon injectable80mg/3mL  Colistin CF®
25°C
24 Heure
Lumière 3440
Polypropylène
Aérosol   Tobramycin sulfate Flacon injectable300mg/5mL  Tobi® (Novartis)
Aérosol   Colistin mesilate sodium Flacon injectable80mg/3mL  Colistin CF®
25°C
24 Heure
Lumière 3440
Polypropylène
Aérosol   Tobramycin sulfate Flacon injectable300mg/4mL  Bramitob® (Asche Chiesi)
Aérosol   Colistin mesilate sodium Flacon injectable80mg/3mL  Colistin CF®
25°C
24 Heure
Lumière 3440

  Mentions Légales