Laatste update :
27/04/2026
Antibioticum   Tobramycin sulfate  
Aerosol
injecteerbaar geneesmiddel Oogwater Orale Oplossing
Stabiliteit van farmaceutische preparaten Stabiliteit in mengsels Factoren die de stabiliteit beïnvloeden Verenigbaarheden Literatuur pdf
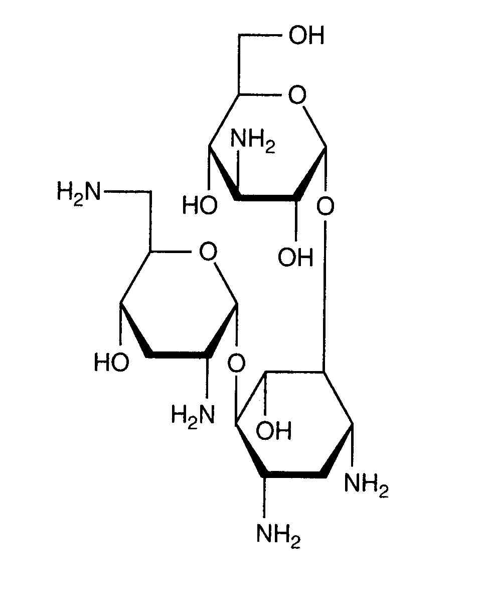
   Molecuulstructuur  

Aerosol
Stabiliteit in mengsels   Aerosol   Stabiliteit in mengsels : Tobramycin sulfate     
Verpakking  ikˈsipēənt hulpstof Stof Temperatuur Bewaring Duur van de stabiliteit Literatuur
Glas
NaCl 0.9% 2 ml
Aerosol   Tobramycin sulfate Geneeskunde fles voor injectie40 mg=1   ® = ?
Aerosol   Salbutamol sulfate Geneeskunde fles voor injectie2,5 mg=0  ® = ?
4°C
7 Dag
Niet gespecificeerd 2960
Polypropyleen (PP)
Aerosol   Tobramycin sulfate Geneeskunde fles voor injectie30mg/4 mL  Bramitob® (Asche Chiesi)
Aerosol   Colistin mesilate sodium Geneeskunde fles voor injectie80mg/3mL  Colistin CF®
25°C
24 Uur
Licht 3440
Polypropyleen (PP)
Aerosol   Tobramycin sulfate Geneeskunde fles voor injectie300mg/5mL  Tobi® (Novartis)
Aerosol   Colistin mesilate sodium Geneeskunde fles voor injectie80mg/3mL  Colistin CF®
25°C
24 Uur
Licht 3440
Polypropyleen (PP)
Aerosol   Tobramycin sulfate Geneeskunde fles voor injectie300mg/4mL  Bramitob® (Asche Chiesi)
Aerosol   Colistin mesilate sodium Geneeskunde fles voor injectie80mg/3mL  Colistin CF®
25°C
24 Uur
Licht 3440

  Mentions Légales