viimane versioon :
27/04/2026
antibiootikum   Tobramycin sulfate  
aerosool
Silmatilgad Süsteravim suukaudne lahus
Stabiilsust ravimpreparaadid Stabiilsust mõjutavad tegurid stabiilsust mõjutavad faktorid Sobimatus Viited pdf
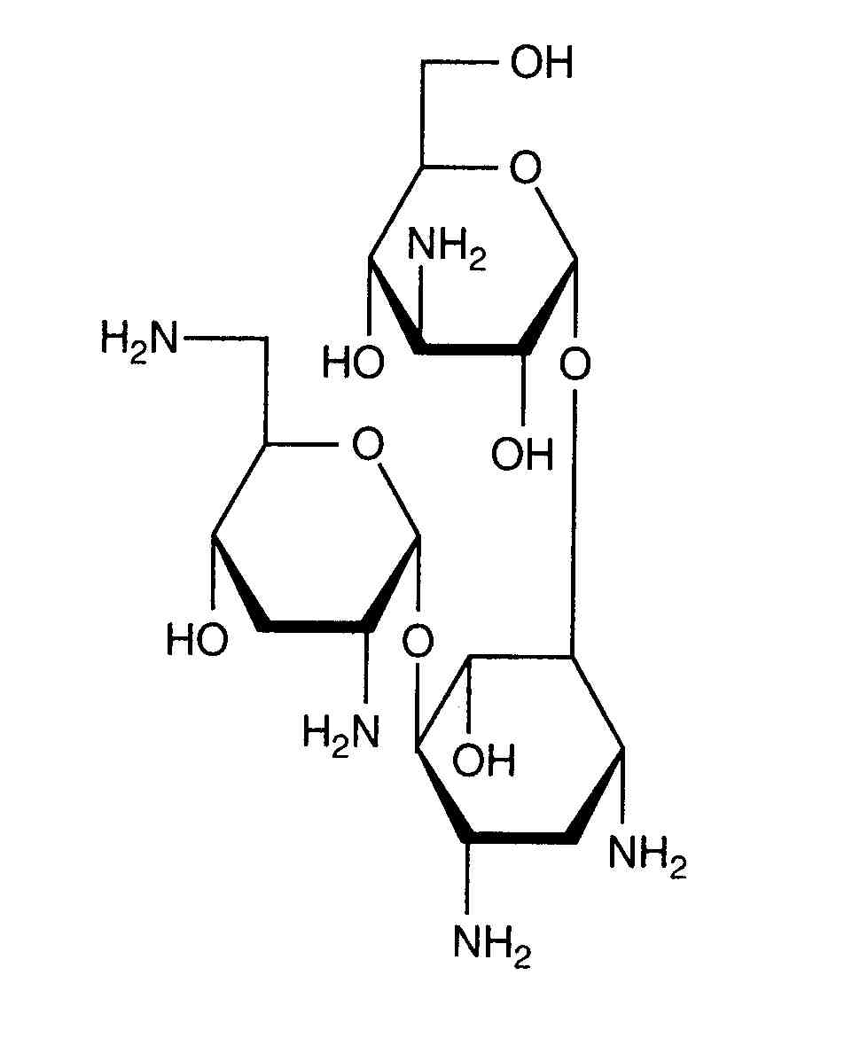
   keemiline struktuur  

aerosool
Stabiilsust mõjutavad tegurid   aerosool   Stabiilsust mõjutavad tegurid : Tobramycin sulfate     
konteiner  abiaine ingredient temperatuur ladustamine Stabiilsuse kestus Viited
klaas
NaCl 0.9% 2 ml
aerosool   Tobramycin sulfate Süsteravimi viaal40 mg=1   ® = ?
aerosool   Salbutamol sulfate Süsteravimi viaal2,5 mg=0  ® = ?
4°C
7 päev
pole täpsustatud 2960
polüpropüleen
aerosool   Tobramycin sulfate Süsteravimi viaal30mg/4 mL  Bramitob® (Asche Chiesi)
aerosool   Colistin mesilate sodium Süsteravimi viaal80mg/3mL  Colistin CF®
25°C
24 Tund
valgus 3440
polüpropüleen
aerosool   Tobramycin sulfate Süsteravimi viaal300mg/5mL  Tobi® (Novartis)
aerosool   Colistin mesilate sodium Süsteravimi viaal80mg/3mL  Colistin CF®
25°C
24 Tund
valgus 3440
polüpropüleen
aerosool   Tobramycin sulfate Süsteravimi viaal300mg/4mL  Bramitob® (Asche Chiesi)
aerosool   Colistin mesilate sodium Süsteravimi viaal80mg/3mL  Colistin CF®
25°C
24 Tund
valgus 3440

  Mentions Légales