Letztes “update” :
27/04/2026
Antibiotikum   Tobramycin sulfate  
Aerosol
Augentropfen Injektion Lösung zum Einnehmen
Stabilität von pharmazeutischen Präparaten Gemengestabilität Stabilitätbeeinflussende Faktoren Kompatibilitäten Literaturverzeichnis pdf
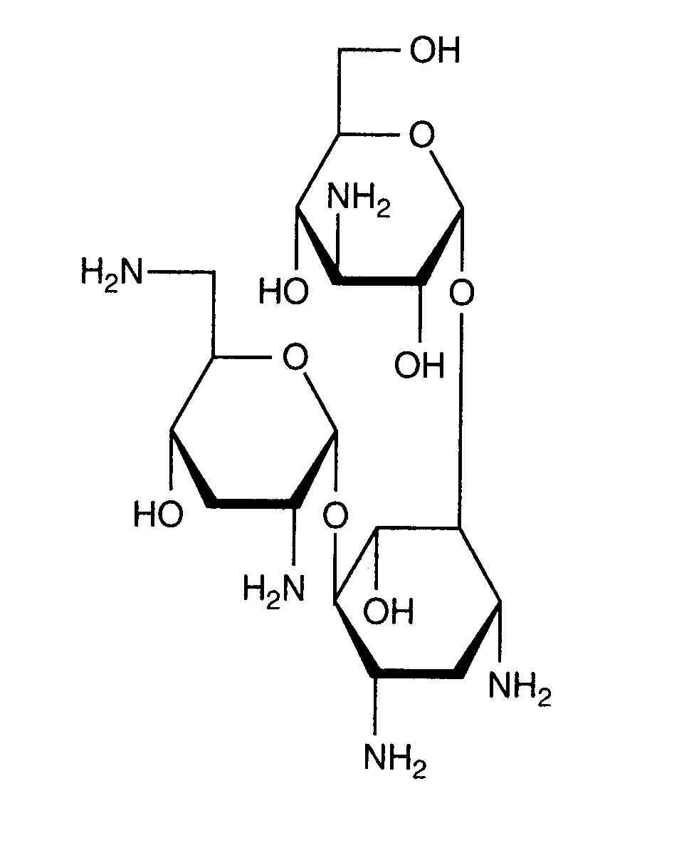
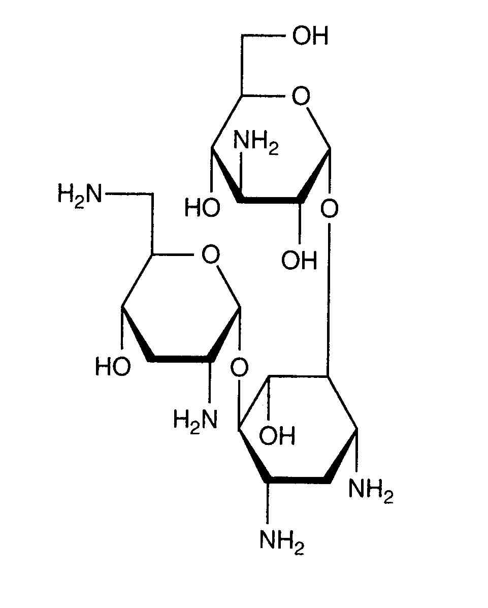
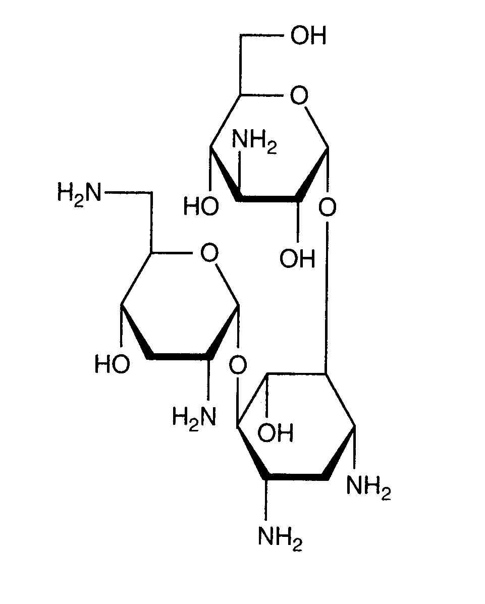
   Chemische Struktur  

Aerosol
Gemengestabilität   Aerosol   Gemengestabilität : Tobramycin sulfate     
Behälter Hilfsstoff Molekül Temperatur Konservierung Dauer der Stabilität Literaturverzeichnis
Glas
NaCl 0.9% 2 ml
Aerosol   Tobramycin sulfate Injektionsflasche40 mg=1   ® = ?
Aerosol   Salbutamol sulfate Injektionsflasche2,5 mg=0  ® = ?
4°C
7 Tag
Nicht genau angegeben 2960
Polypropylen
Aerosol   Tobramycin sulfate Injektionsflasche30mg/4 mL  Bramitob® (Asche Chiesi)
Aerosol   Colistin mesilate sodium Injektionsflasche80mg/3mL  Colistin CF®
25°C
24 Stunde
Licht 3440
Polypropylen
Aerosol   Tobramycin sulfate Injektionsflasche300mg/5mL  Tobi® (Novartis)
Aerosol   Colistin mesilate sodium Injektionsflasche80mg/3mL  Colistin CF®
25°C
24 Stunde
Licht 3440
Polypropylen
Aerosol   Tobramycin sulfate Injektionsflasche300mg/4mL  Bramitob® (Asche Chiesi)
Aerosol   Colistin mesilate sodium Injektionsflasche80mg/3mL  Colistin CF®
25°C
24 Stunde
Licht 3440

  Mentions Légales