Последно актуализиране :
27/04/2026
Антибиотик   Tobramycin sulfate  
Аерозол
Инжекция/Инжекционен Капки за очи Орален разтвор
Стабилност на лекарствени препарати Стабилност на смеси Фактори, повлияващи стабилността Съвместимост Библиография Pdf
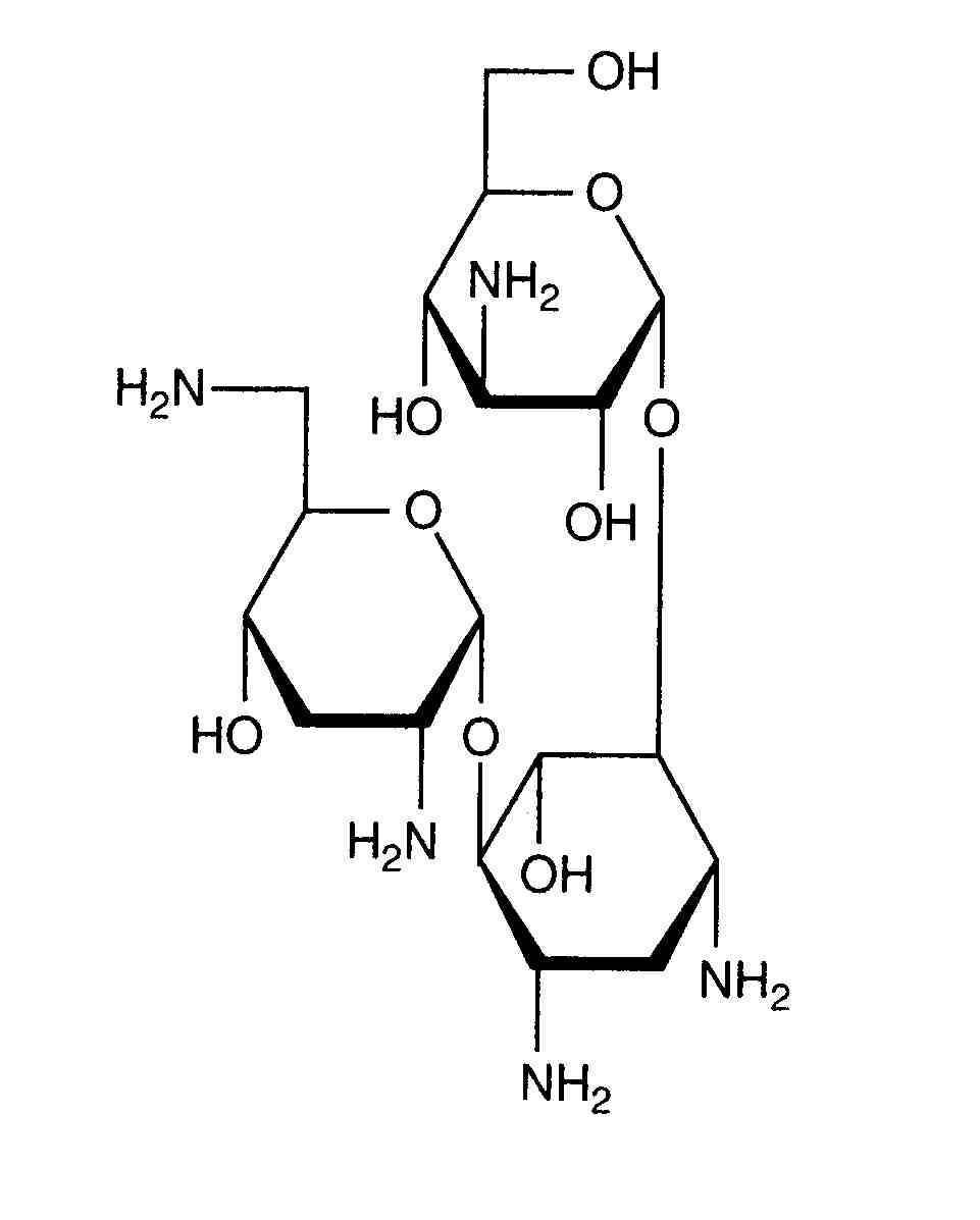
   Химична структура  

Аерозол
Стабилност на смеси   Аерозол   Стабилност на смеси : Tobramycin sulfate     
Контейнер Помощно вещество Състав / молекула Температура Съхранение Продължителност на стабилността Библиография
Стъкло
Натриев хлорид 0.9% 2 ml
Аерозол   Tobramycin sulfate Фпакон40 mg=1   ® = ?
Аерозол   Salbutamol sulfate Фпакон2,5 mg=0  ® = ?
4°C
7 Ден
Не е уточнено 2960
Полипропилен
Аерозол   Tobramycin sulfate Фпакон30mg/4 mL  Bramitob® (Asche Chiesi)
Аерозол   Colistin mesilate sodium Фпакон80mg/3mL  Colistin CF®
25°C
24 Час
Светлина 3440
Полипропилен
Аерозол   Tobramycin sulfate Фпакон300mg/5mL  Tobi® (Novartis)
Аерозол   Colistin mesilate sodium Фпакон80mg/3mL  Colistin CF®
25°C
24 Час
Светлина 3440
Полипропилен
Аерозол   Tobramycin sulfate Фпакон300mg/4mL  Bramitob® (Asche Chiesi)
Аерозол   Colistin mesilate sodium Фпакон80mg/3mL  Colistin CF®
25°C
24 Час
Светлина 3440

  Mentions Légales