Última actualización :
27/04/2026
Antibiótico   Tobramycin sulfate  
Aerosol
Gotas oculares Inyectables Solución Oral
La estabilidad de las preparaciones farmacéuticas Estabilidad en mezcla Factores que influyen sobre la estabilidad Compatibilidades Bibliografía pdf
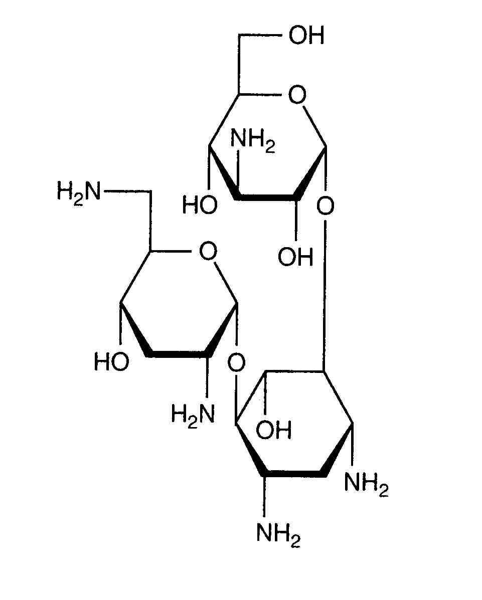
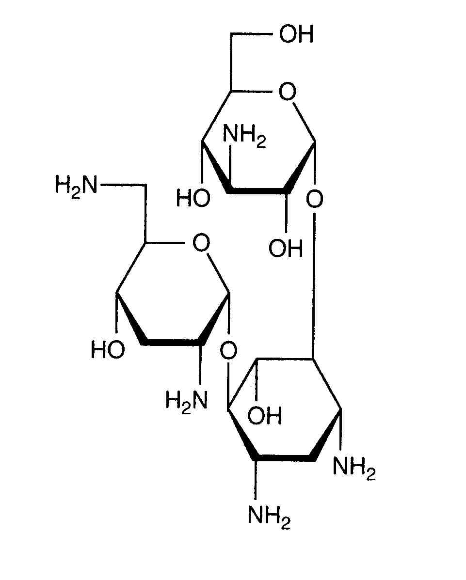
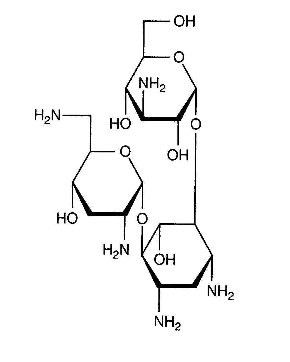
   Estructura química  

Aerosol
Estabilidad en mezcla   Aerosol   Estabilidad en mezcla : Tobramycin sulfate     
Envase Excipiente Molécula Temperatura Conservación Duración de la estabilidad Bibliografía
Vidrio
NaCl 0.9% 2 ml
Aerosol   Tobramycin sulfate Frasco para medicamentos inyectables40 mg=1   ® = ?
Aerosol   Salbutamol sulfate Frasco para medicamentos inyectables2,5 mg=0  ® = ?
4°C
7 Día
No precisada 2960
Polipropileno
Aerosol   Tobramycin sulfate Frasco para medicamentos inyectables30mg/4 mL  Bramitob® (Asche Chiesi)
Aerosol   Colistin mesilate sodium Frasco para medicamentos inyectables80mg/3mL  Colistin CF®
25°C
24 Hora
Luz 3440
Polipropileno
Aerosol   Tobramycin sulfate Frasco para medicamentos inyectables300mg/5mL  Tobi® (Novartis)
Aerosol   Colistin mesilate sodium Frasco para medicamentos inyectables80mg/3mL  Colistin CF®
25°C
24 Hora
Luz 3440
Polipropileno
Aerosol   Tobramycin sulfate Frasco para medicamentos inyectables300mg/4mL  Bramitob® (Asche Chiesi)
Aerosol   Colistin mesilate sodium Frasco para medicamentos inyectables80mg/3mL  Colistin CF®
25°C
24 Hora
Luz 3440

  Mentions Légales