Utolsó frissítés :
27/04/2026
Antibiotikum   Tobramycin sulfate  
aeroszol
belsőleges oldat Injekció Szemcsepp
Stabilitása gyógyszerészeti készítmények A keverékek stabilitása Stabilitást befolyásoló tényezők Kompatibilitás Irodalom pdf
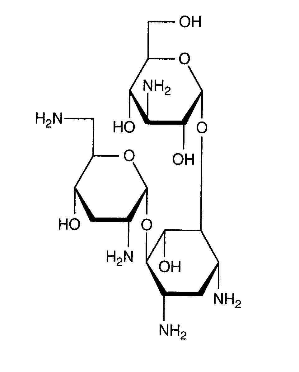
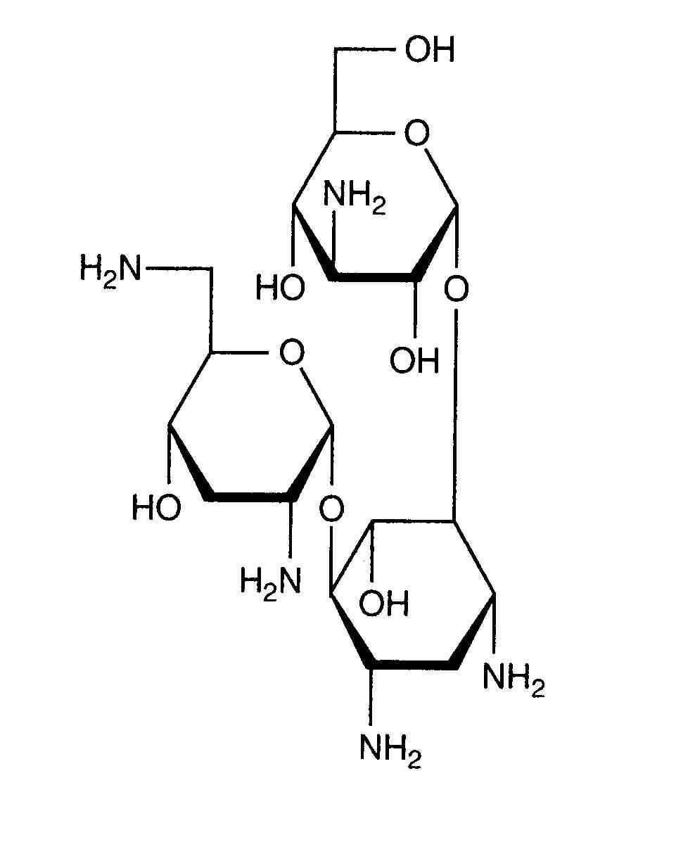
   Kémiai szerkezet   

aeroszol
A keverékek stabilitása   aeroszol   A keverékek stabilitása : Tobramycin sulfate     
Csomagolás segédanyag Vegyület Hőmérséklet Tárolás A stabilitás időtartama Irodalom
Üveg
NaCl 0.9% 2 ml
aeroszol   Tobramycin sulfate Injekcióhoz való űveg40 mg=1   ® = ?
aeroszol   Salbutamol sulfate Injekcióhoz való űveg2,5 mg=0  ® = ?
4°C
7 Nap
Nincs meghatározva 2960
Polipropilén
aeroszol   Tobramycin sulfate Injekcióhoz való űveg30mg/4 mL  Bramitob® (Asche Chiesi)
aeroszol   Colistin mesilate sodium Injekcióhoz való űveg80mg/3mL  Colistin CF®
25°C
24 Óra
Fény 3440
Polipropilén
aeroszol   Tobramycin sulfate Injekcióhoz való űveg300mg/5mL  Tobi® (Novartis)
aeroszol   Colistin mesilate sodium Injekcióhoz való űveg80mg/3mL  Colistin CF®
25°C
24 Óra
Fény 3440
Polipropilén
aeroszol   Tobramycin sulfate Injekcióhoz való űveg300mg/4mL  Bramitob® (Asche Chiesi)
aeroszol   Colistin mesilate sodium Injekcióhoz való űveg80mg/3mL  Colistin CF®
25°C
24 Óra
Fény 3440

  Mentions Légales