Ultimo aggiornamento :
27/04/2026
Antibiotico   Tobramycin sulfate  
Aerosol
Collirio Iniezione Soluzione orale
Stabilità dei preparati farmaceutici Stabilità in miscela Fattori che influenzano la stabilità Compatibilità Bibliografia pdf
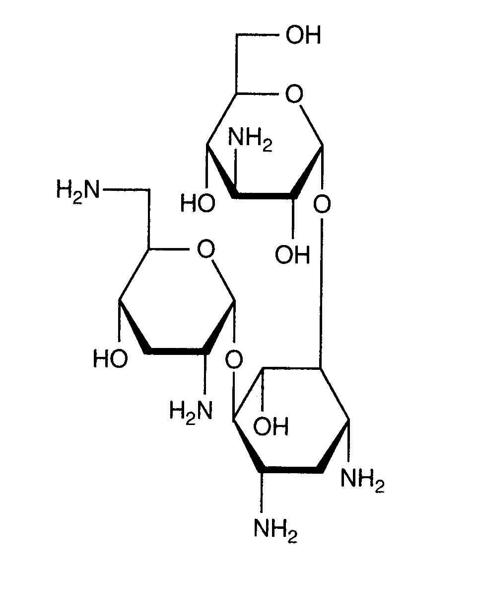
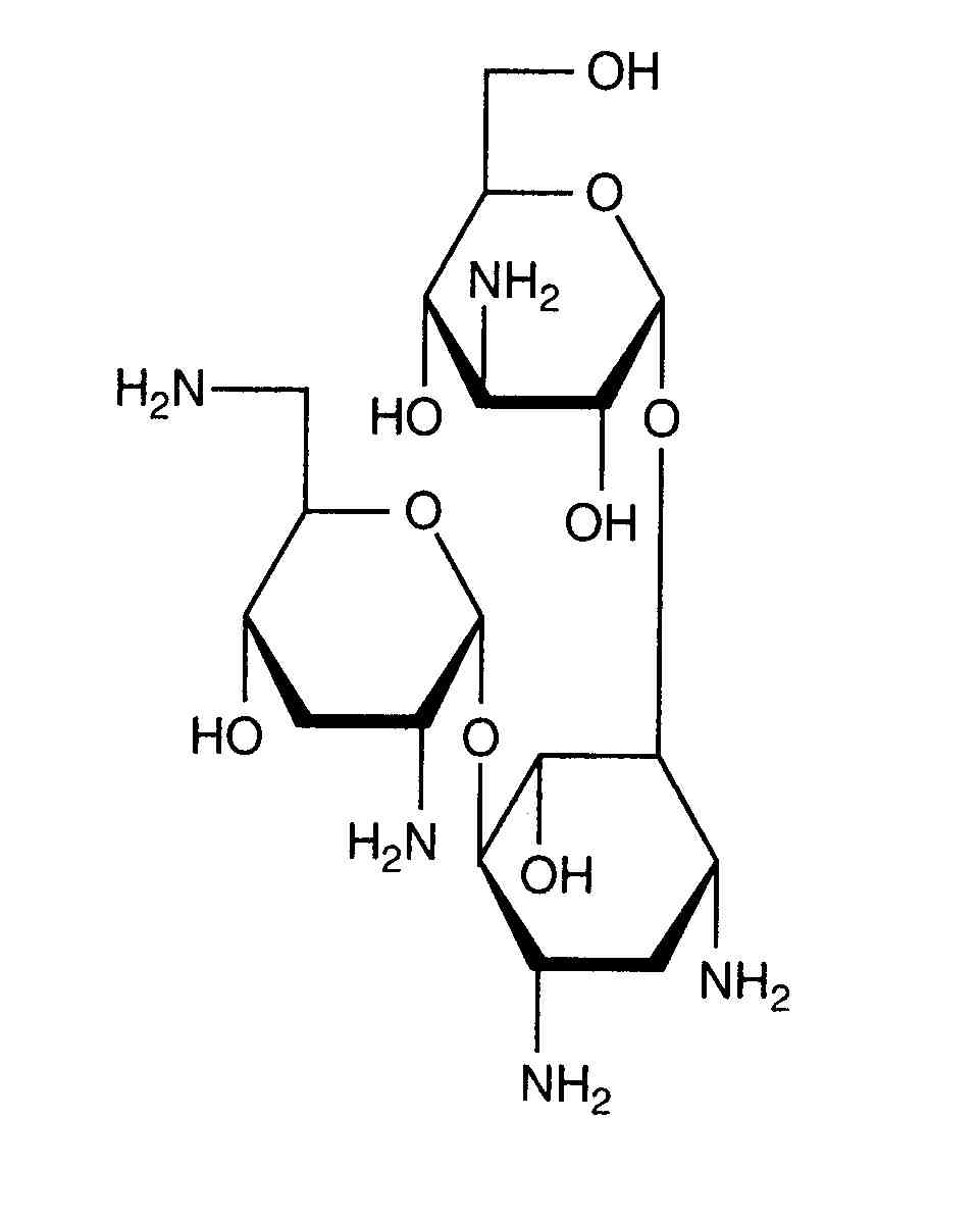
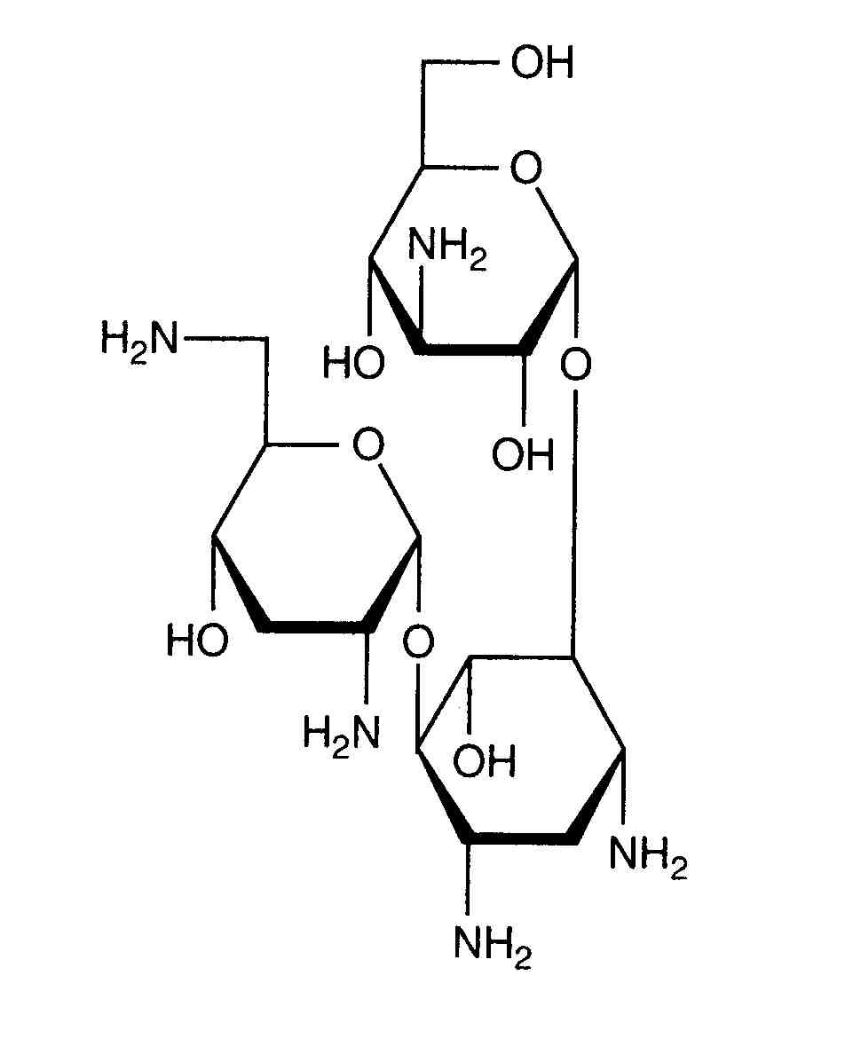
   Struttura chimica  

Aerosol
Stabilità in miscela   Aerosol   Stabilità in miscela : Tobramycin sulfate     
contenitore eccipiente Molecola Temperatura Conservazione Durata della stabilità Bibliografia
Vetro
NaCl 0.9% 2 ml
Aerosol   Tobramycin sulfate Bottiglia di medicina per l'iniezione40 mg=1   ® = ?
Aerosol   Salbutamol sulfate Bottiglia di medicina per l'iniezione2,5 mg=0  ® = ?
4°C
7 Giorno
Non precisata 2960
Polipropilene
Aerosol   Tobramycin sulfate Bottiglia di medicina per l'iniezione30mg/4 mL  Bramitob® (Asche Chiesi)
Aerosol   Colistin mesilate sodium Bottiglia di medicina per l'iniezione80mg/3mL  Colistin CF®
25°C
24 Ora
Luce 3440
Polipropilene
Aerosol   Tobramycin sulfate Bottiglia di medicina per l'iniezione300mg/5mL  Tobi® (Novartis)
Aerosol   Colistin mesilate sodium Bottiglia di medicina per l'iniezione80mg/3mL  Colistin CF®
25°C
24 Ora
Luce 3440
Polipropilene
Aerosol   Tobramycin sulfate Bottiglia di medicina per l'iniezione300mg/4mL  Bramitob® (Asche Chiesi)
Aerosol   Colistin mesilate sodium Bottiglia di medicina per l'iniezione80mg/3mL  Colistin CF®
25°C
24 Ora
Luce 3440

  Mentions Légales