Останнє оновлення :
27/04/2026
Антибіотик   Tobramycin sulfate  
аерозоль
ін'єкція Очні краплі Розчин для перорального застосування
Стабільність фармацевтичних препаратів Стійкість сумішей Фактори, що впливають на стабільність Сумісність Список літератури pdf
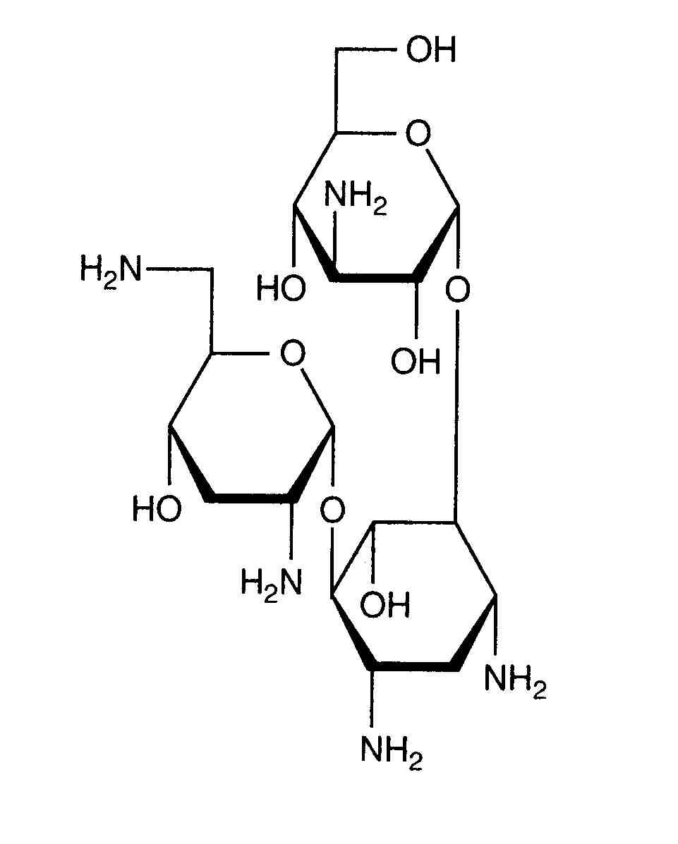
   Хімічна структура  

аерозоль
Стійкість сумішей   аерозоль   Стійкість сумішей : Tobramycin sulfate     
Контейнер допоміжна речовина З'єднання температура Зберігання Тривалість стабільності Список літератури
скло
NaCl 0.9% 2 ml
аерозоль   Tobramycin sulfate Пляшка для ін'єкцій40 mg=1   ® = ?
аерозоль   Salbutamol sulfate Пляшка для ін'єкцій2,5 mg=0  ® = ?
4°C
7 День
Не визначено 2960
Поліпропілен
аерозоль   Tobramycin sulfate Пляшка для ін'єкцій30mg/4 mL  Bramitob® (Asche Chiesi)
аерозоль   Colistin mesilate sodium Пляшка для ін'єкцій80mg/3mL  Colistin CF®
25°C
24 годину
світло 3440
Поліпропілен
аерозоль   Tobramycin sulfate Пляшка для ін'єкцій300mg/5mL  Tobi® (Novartis)
аерозоль   Colistin mesilate sodium Пляшка для ін'єкцій80mg/3mL  Colistin CF®
25°C
24 годину
світло 3440
Поліпропілен
аерозоль   Tobramycin sulfate Пляшка для ін'єкцій300mg/4mL  Bramitob® (Asche Chiesi)
аерозоль   Colistin mesilate sodium Пляшка для ін'єкцій80mg/3mL  Colistin CF®
25°C
24 годину
світло 3440

  Mentions Légales