Cập nhật lần cuối :
27/04/2026
Kháng sinh   Tobramycin sulfate  
Khí dung
Dạng tiêm Dung dịch uống Thuốc nhỏ mắt
Tính ổn định của các chế phẩm Độ ổn định khi trộn lẫn Những yếu tố ảnh hưởng đến độ ổn định Khả năng tương thích Tài liệu tham khảo Pdf
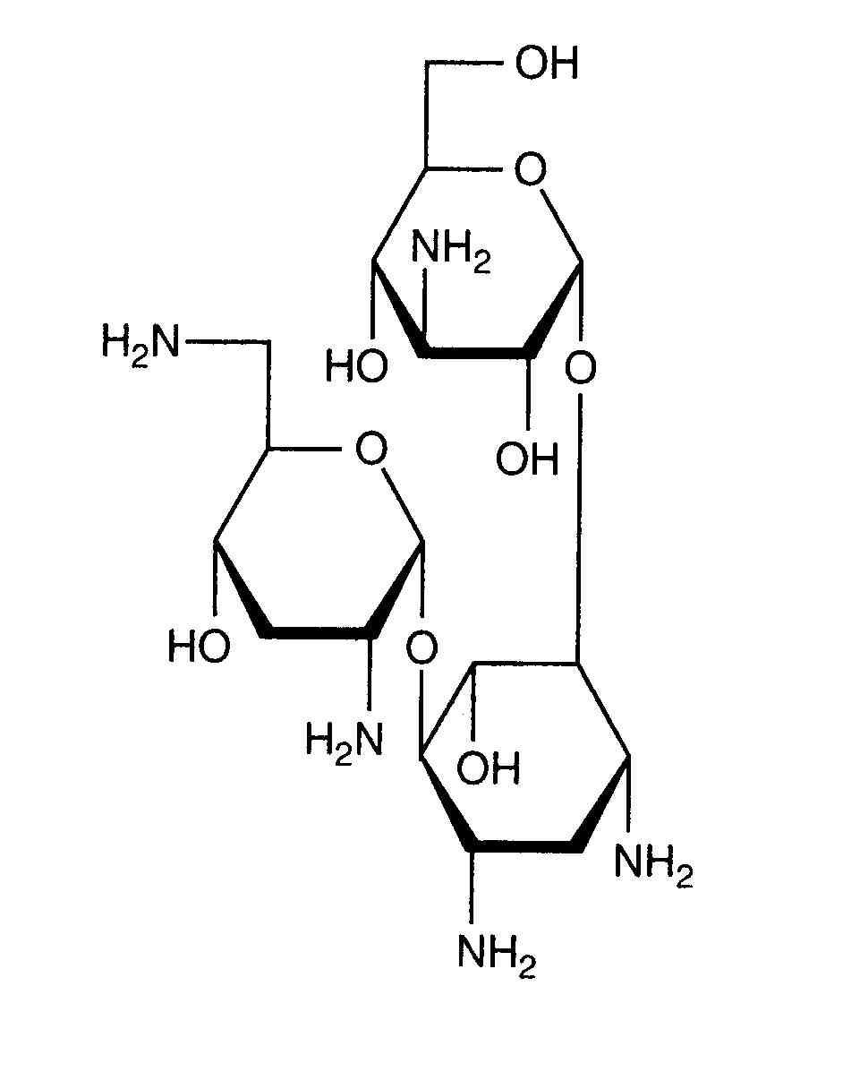
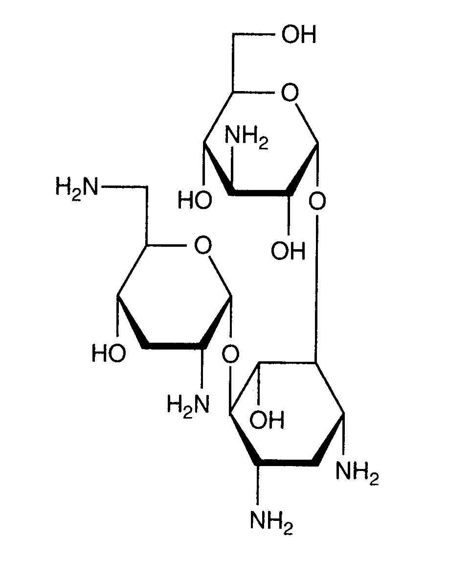
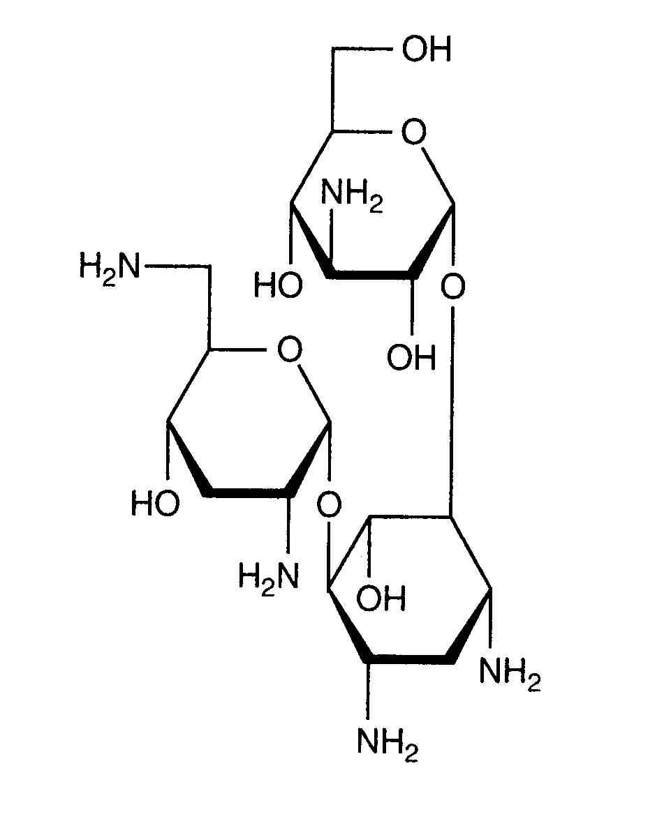
   Cấu trúc hóa học  

Khí dung
Độ ổn định khi trộn lẫn   Khí dung   Độ ổn định khi trộn lẫn : Tobramycin sulfate     
Bao bì Tá dược Phân tử Nhiệt độ Bảo quản Thời gian ổn định Mục lục
Thủy tinh
NaCl 0,9% 2 ml
Khí dung   Tobramycin sulfate Lọ thuốc tiêm40 mg=1   ® = ?
Khí dung   Salbutamol sulfate Lọ thuốc tiêm2,5 mg=0  ® = ?
4°C
7 Ngày
Không rõ 2960
Nhựa polypropylen
Khí dung   Tobramycin sulfate Lọ thuốc tiêm30mg/4 mL  Bramitob® (Asche Chiesi)
Khí dung   Colistin mesilate sodium Lọ thuốc tiêm80mg/3mL  Colistin CF®
25°C
24 Giờ
Ánh sáng 3440
Nhựa polypropylen
Khí dung   Tobramycin sulfate Lọ thuốc tiêm300mg/5mL  Tobi® (Novartis)
Khí dung   Colistin mesilate sodium Lọ thuốc tiêm80mg/3mL  Colistin CF®
25°C
24 Giờ
Ánh sáng 3440
Nhựa polypropylen
Khí dung   Tobramycin sulfate Lọ thuốc tiêm300mg/4mL  Bramitob® (Asche Chiesi)
Khí dung   Colistin mesilate sodium Lọ thuốc tiêm80mg/3mL  Colistin CF®
25°C
24 Giờ
Ánh sáng 3440

  Mentions Légales