Zadnji put ažurirano :
27/04/2026
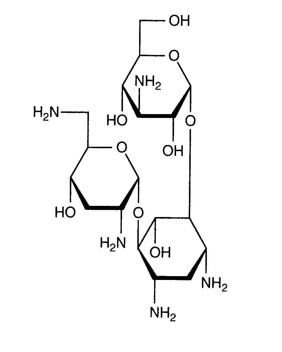
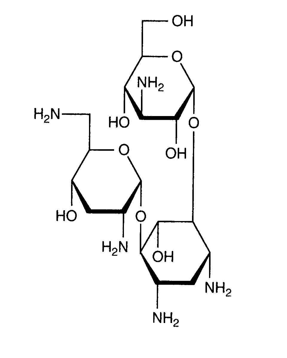
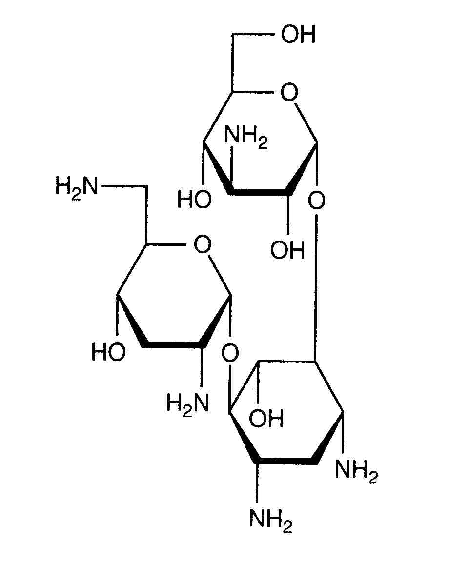
antibiotik   Tobramycin sulfate  
aerosol
injekcija kapi za oko oralna otopina
Stabilnost farmaceutskih pripravaka Stabilnost mješavine Stabilizacijski faktor Kompatibilnosti Bibliografija pdf
   Kemijska struktura  

aerosol
Stabilnost mješavine   aerosol   Stabilnost mješavine : Tobramycin sulfate     
Kontejner pomoćna tvar molekula temperatura Konzerviranje Trajanje stabilnosti Bibliografija
čaša
NaCl 0.9% 2 ml
aerosol   Tobramycin sulfate bočica za injekcije40 mg=1   ® = ?
aerosol   Salbutamol sulfate bočica za injekcije2,5 mg=0  ® = ?
4°C
7 dan
nespecifičan 2960
polipropilen
aerosol   Tobramycin sulfate bočica za injekcije30mg/4 mL  Bramitob® (Asche Chiesi)
aerosol   Colistin mesilate sodium bočica za injekcije80mg/3mL  Colistin CF®
25°C
24 sat
svjetlost 3440
polipropilen
aerosol   Tobramycin sulfate bočica za injekcije300mg/5mL  Tobi® (Novartis)
aerosol   Colistin mesilate sodium bočica za injekcije80mg/3mL  Colistin CF®
25°C
24 sat
svjetlost 3440
polipropilen
aerosol   Tobramycin sulfate bočica za injekcije300mg/4mL  Bramitob® (Asche Chiesi)
aerosol   Colistin mesilate sodium bočica za injekcije80mg/3mL  Colistin CF®
25°C
24 sat
svjetlost 3440

  Mentions Légales