Posledná aktualizácia :
27/04/2026
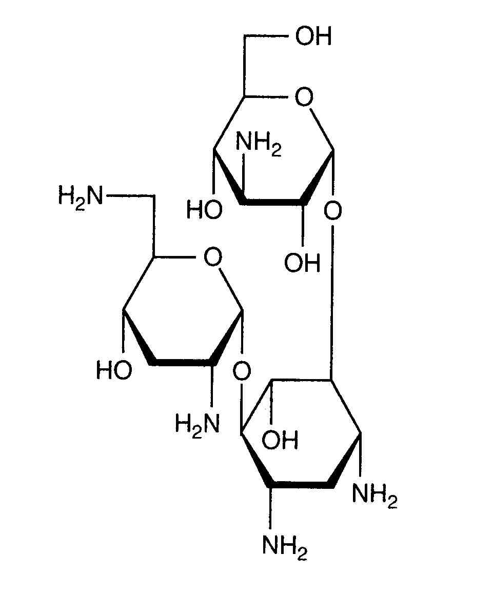
antibiotikum   Tobramycin sulfate  
Aerosól
Injekcia Očná instilácia Perorálny roztok
Stabilita farmaceutických prípravkov Stabilita v zmesiach Faktory ovplyvňujúce stabilitu Kompatibility Odkazy na literatúru PDF
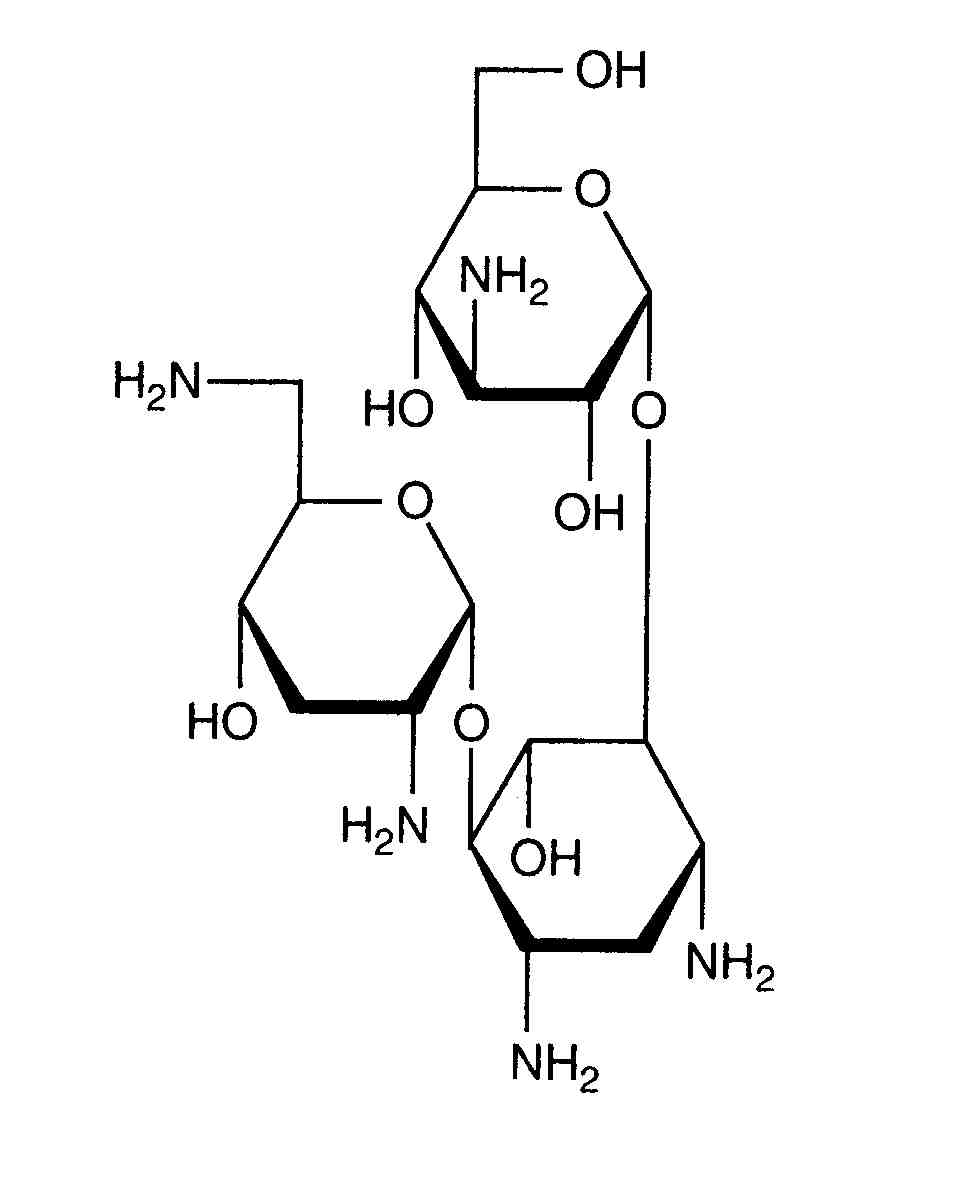
   Chemický vzorec  

Aerosól
Stabilita v zmesiach   Aerosól   Stabilita v zmesiach : Tobramycin sulfate     
obal Pomocná látka Zlúčenina teplota uchovávanie Trvanie stability odkazy na lieteratúru
Sklo
NaCl 0.9% 2 ml
Aerosól   Tobramycin sulfate Injekčná liekovka40 mg=1   ® = ?
Aerosól   Salbutamol sulfate Injekčná liekovka2,5 mg=0  ® = ?
4°C
7 dní
nešpecifikované 2960
polypropylén
Aerosól   Tobramycin sulfate Injekčná liekovka30mg/4 mL  Bramitob® (Asche Chiesi)
Aerosól   Colistin mesilate sodium Injekčná liekovka80mg/3mL  Colistin CF®
25°C
24 hodín
Za svetla 3440
polypropylén
Aerosól   Tobramycin sulfate Injekčná liekovka300mg/5mL  Tobi® (Novartis)
Aerosól   Colistin mesilate sodium Injekčná liekovka80mg/3mL  Colistin CF®
25°C
24 hodín
Za svetla 3440
polypropylén
Aerosól   Tobramycin sulfate Injekčná liekovka300mg/4mL  Bramitob® (Asche Chiesi)
Aerosól   Colistin mesilate sodium Injekčná liekovka80mg/3mL  Colistin CF®
25°C
24 hodín
Za svetla 3440

  Mentions Légales