Τελευταία ενημέρωση :
27/04/2026
Αντιβιοτικό   Tobramycin sulfate  
Αεροζόλ
Ενέσιμο Οφθαλμικές σταγόνες Πόσιμο διάλυμα
Σταθερότητα και συμβατότητα των φαρμάκων Σταθερότητα σε μίγματα Παράγοντας που επηρεάζει τη σταθερότητα Συμβατότητες Βιβλιογραφία pdf
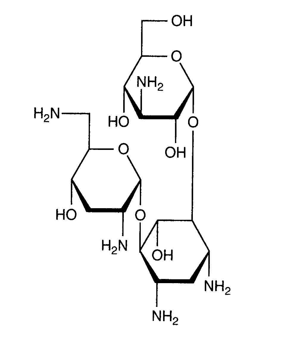
   χημική δομή  

Αεροζόλ
Σταθερότητα σε μίγματα   Αεροζόλ   Σταθερότητα σε μίγματα : Tobramycin sulfate     
Υποδοχέας Έκδοχο Συστατικό Θερμοκρασία Αποθήκευση Διάρκεια σταθερότητας Βιβλιογραφία
Ύαλος
NaCl 0.9% 2 ml
Αεροζόλ   Tobramycin sulfate Φιαλίδιο φαρμάκου για ένεση40 mg=1   ® = ?
Αεροζόλ   Salbutamol sulfate Φιαλίδιο φαρμάκου για ένεση2,5 mg=0  ® = ?
4°C
7 Ημέρα
Απροσδιόριστο 2960
Πολυπροπυλένιο
Αεροζόλ   Tobramycin sulfate Φιαλίδιο φαρμάκου για ένεση30mg/4 mL  Bramitob® (Asche Chiesi)
Αεροζόλ   Colistin mesilate sodium Φιαλίδιο φαρμάκου για ένεση80mg/3mL  Colistin CF®
25°C
24 Ώρα
Φως 3440
Πολυπροπυλένιο
Αεροζόλ   Tobramycin sulfate Φιαλίδιο φαρμάκου για ένεση300mg/5mL  Tobi® (Novartis)
Αεροζόλ   Colistin mesilate sodium Φιαλίδιο φαρμάκου για ένεση80mg/3mL  Colistin CF®
25°C
24 Ώρα
Φως 3440
Πολυπροπυλένιο
Αεροζόλ   Tobramycin sulfate Φιαλίδιο φαρμάκου για ένεση300mg/4mL  Bramitob® (Asche Chiesi)
Αεροζόλ   Colistin mesilate sodium Φιαλίδιο φαρμάκου για ένεση80mg/3mL  Colistin CF®
25°C
24 Ώρα
Φως 3440

  Mentions Légales