Останнє оновлення :
21/01/2026
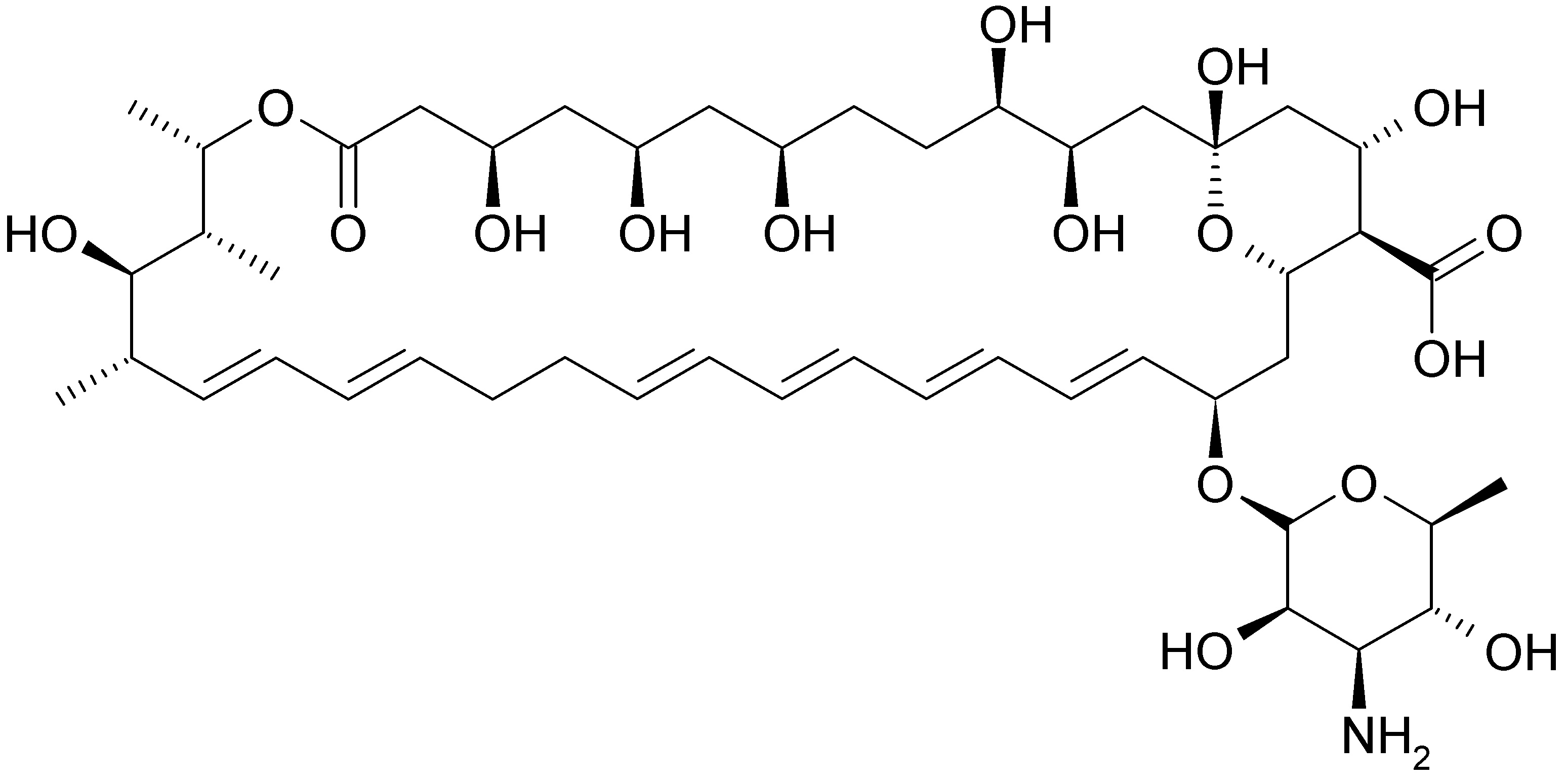
Протигрибковий   Nystatin  
Ополіскувач ротової порожнини
Стабільність фармацевтичних препаратів Стійкість сумішей Фактори, що впливають на стабільність Сумісність Список літератури pdf
   Хімічна структура  

Ополіскувач ротової порожнини

Фактори, що впливають на стабільність   Ополіскувач ротової порожнини   Фактори, що впливають на стабільність : Nystatin        
7 / 5 000 Résultats de traduction Немає даних

  Mentions Légales