Poslední aktualizace :
27/04/2026
Priešgrybelinis vaistas   Nystatin  
Skystis burnai skalauti
Stabilumas farmacinių preparatų Mišinių stabilumas Stabilumą lemiantys veiksniai Suderinamumas Bibliografija pdf
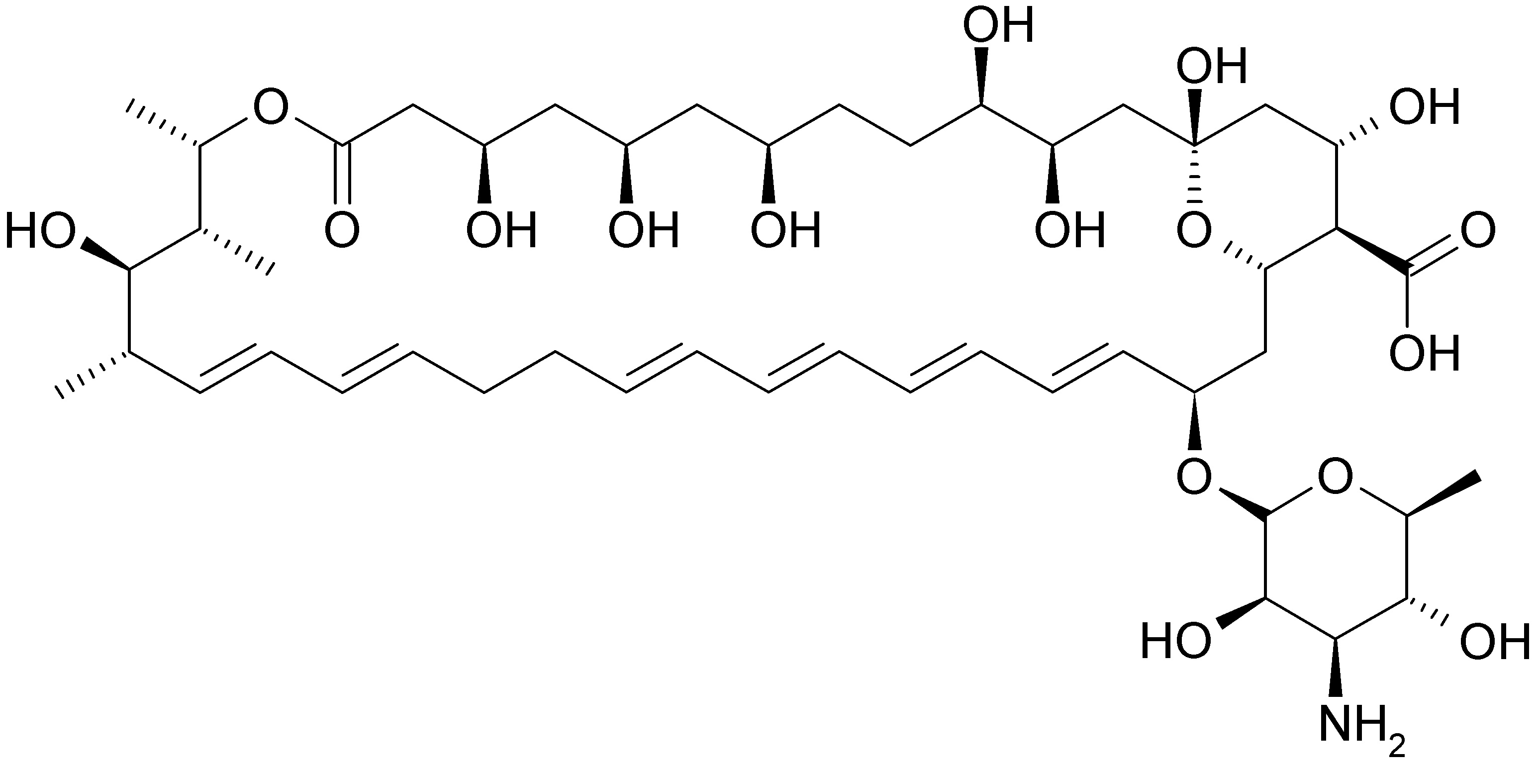
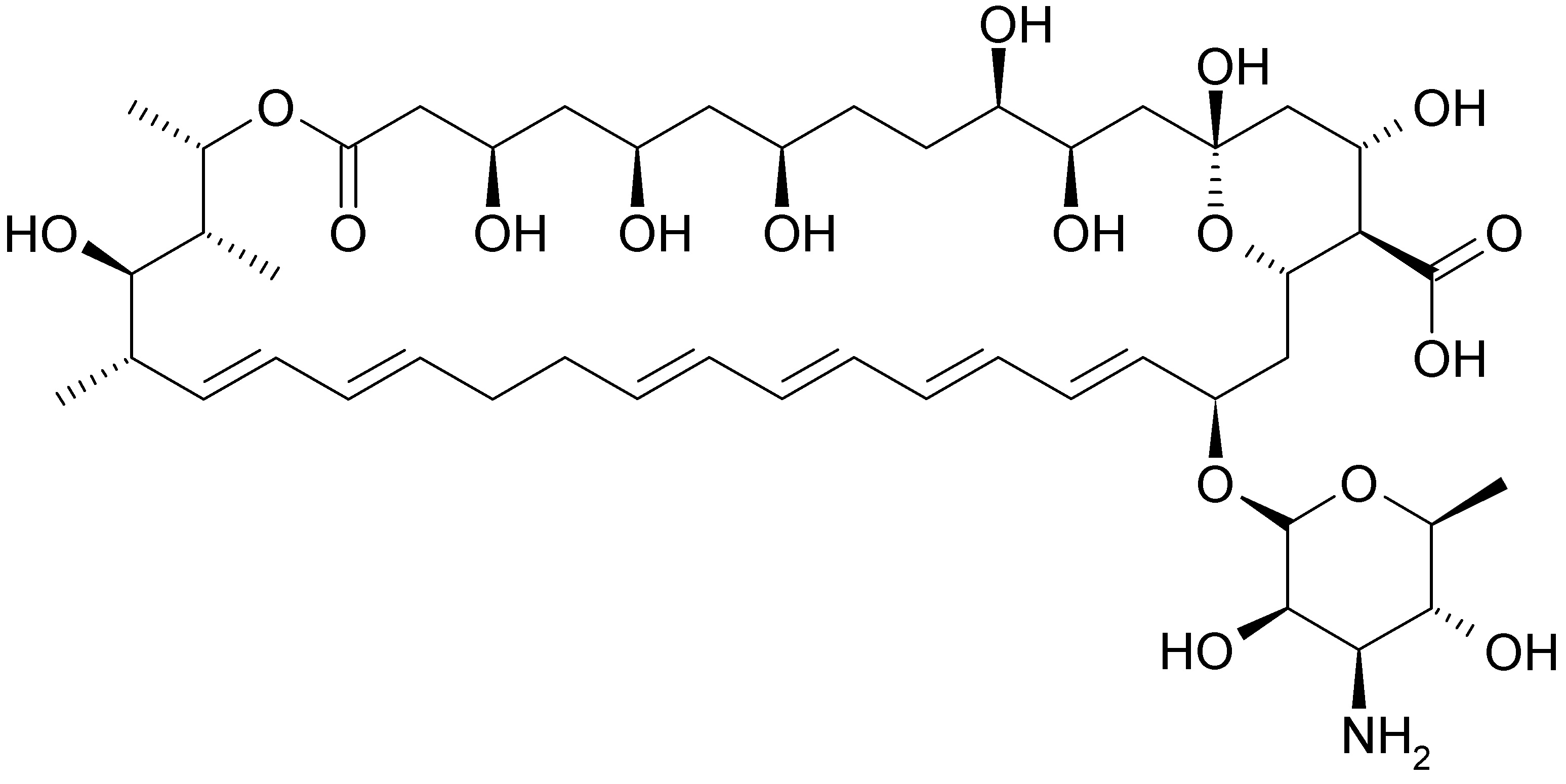
   Cheminė sandara  

Skystis burnai skalauti

Stabilumą lemiantys veiksniai   Skystis burnai skalauti   Stabilumą lemiantys veiksniai : Nystatin        
Nėra duomenų

  Mentions Légales