Последно актуализиране :
27/04/2026
Противогъбично средство   Nystatin  
Разтвор за уста
Стабилност на лекарствени препарати Стабилност на смеси Фактори, повлияващи стабилността Съвместимост Библиография Pdf
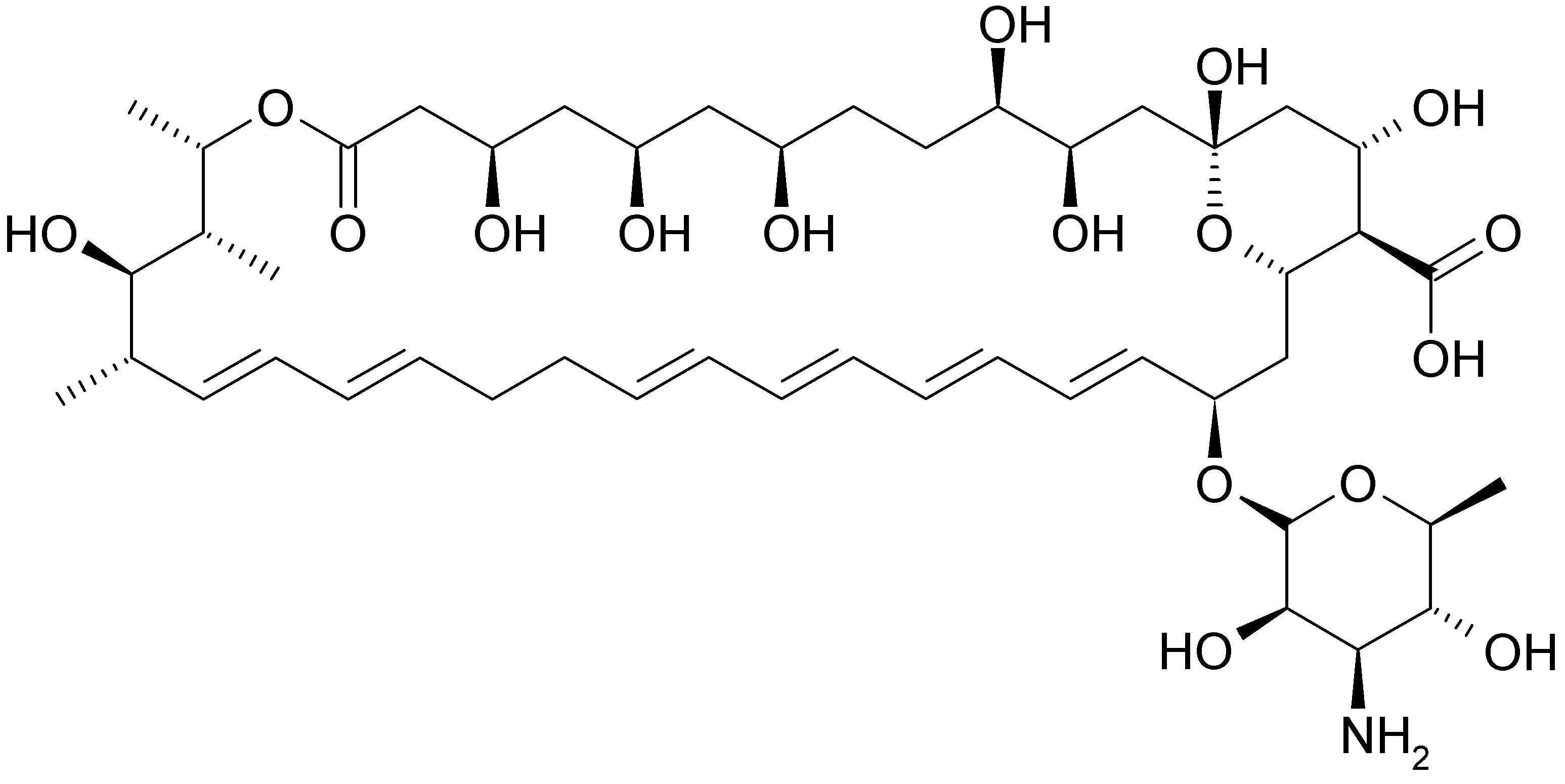
   Химична структура  

Разтвор за уста

Фактори, повлияващи стабилността   Разтвор за уста   Фактори, повлияващи стабилността : Nystatin        
Няма данни

  Mentions Légales