Последнее обновление :
27/04/2026
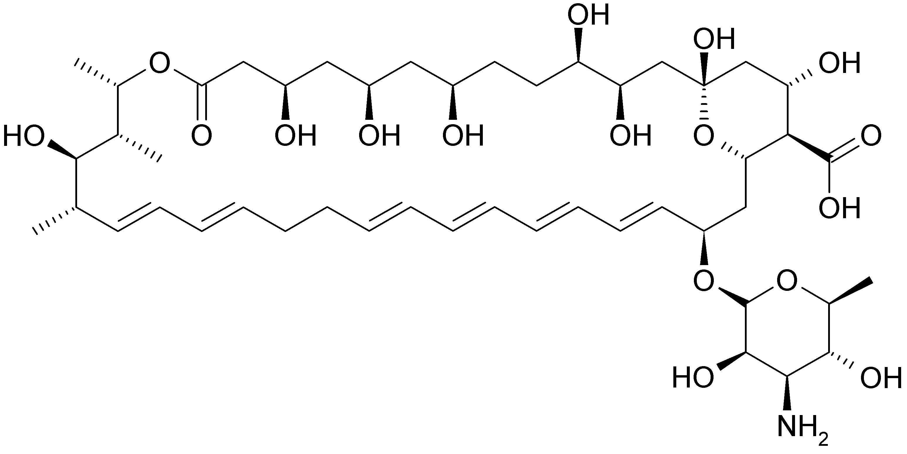
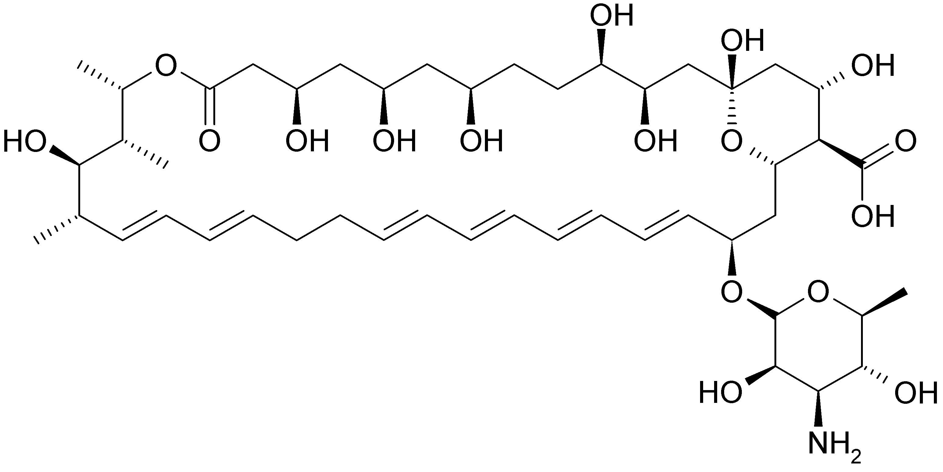
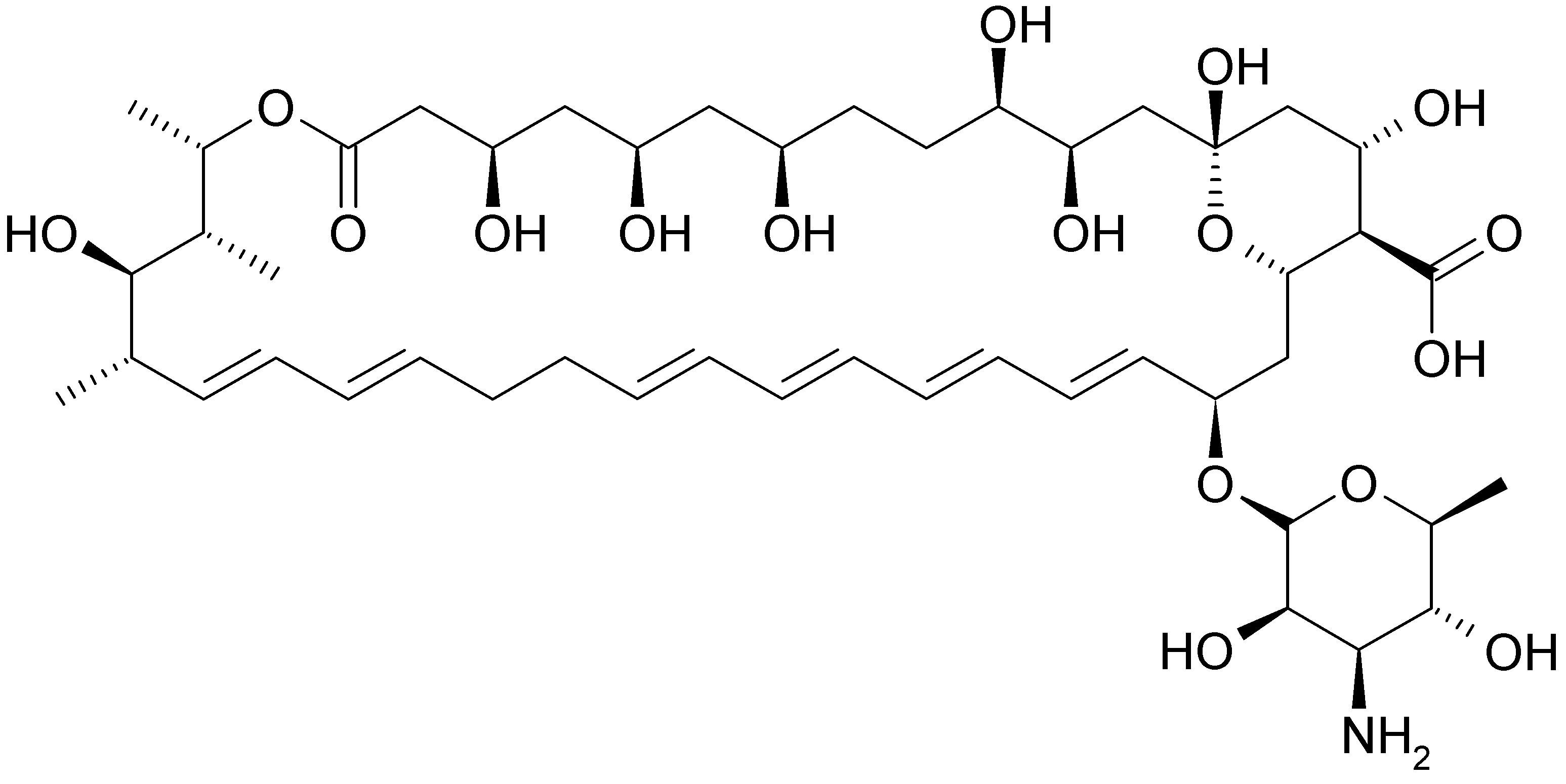
Противогрибковое средство   Nystatin  
Ополаскиватель для полости рта
Стабильность фармацевтических препаратов Стабильность смесей Факторы, которые влияют на стабильность Совместимость Библиография pdf
   Химическая структура  

Ополаскиватель для полости рта

Факторы, которые влияют на стабильность   Ополаскиватель для полости рта   Факторы, которые влияют на стабильность : Nystatin        
данных нет

  Mentions Légales