Seneste opdatering :
27/04/2026
Antisvampe   Nystatin  
Mundskyllevæske
Stabilitet af farmaceutiske tilberedninger Stabilitet i blandinger Faktorer der påvirker stabiliteten Kompatibilitet Bibliografi pdf
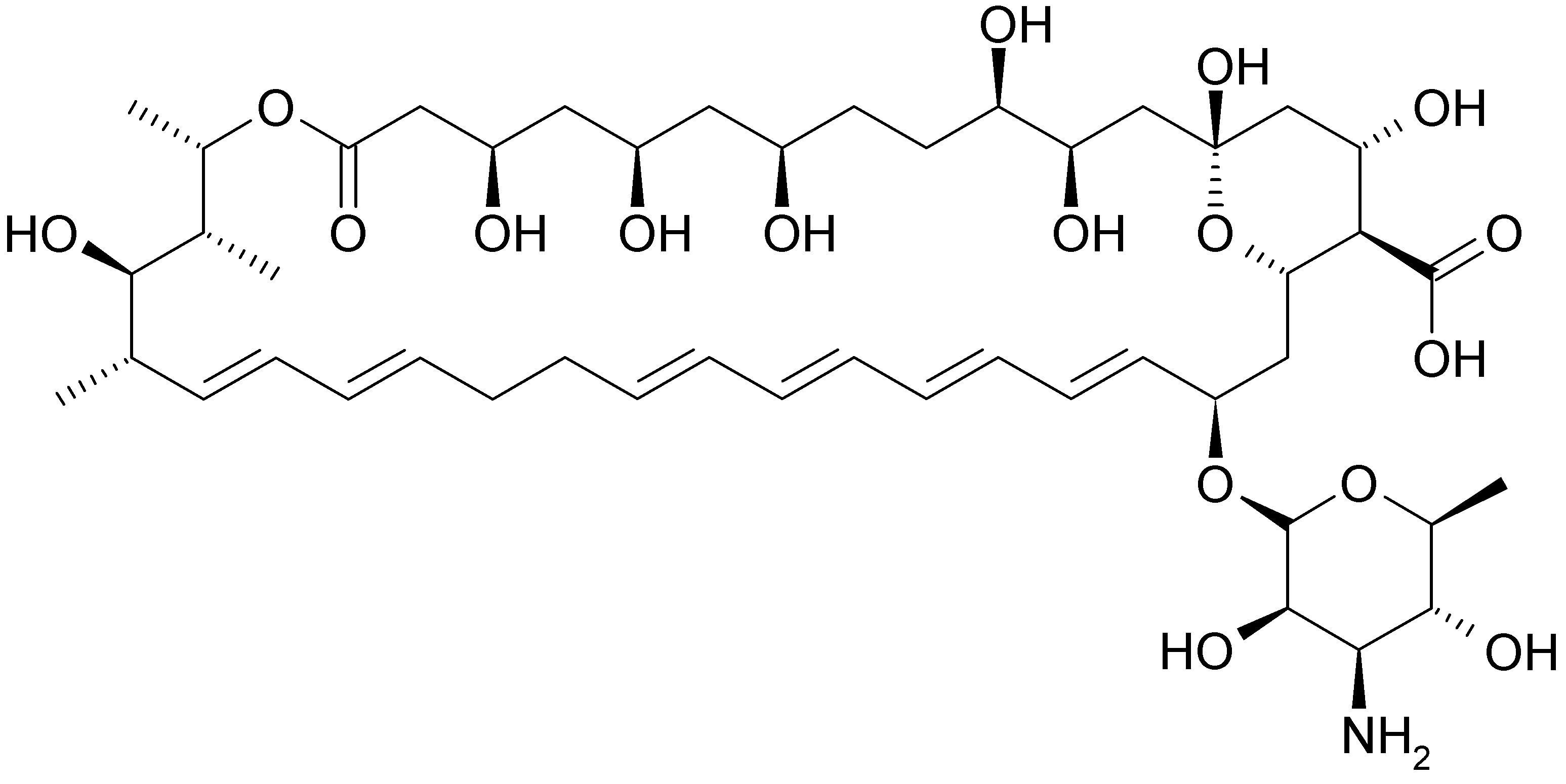
   Kemisk struktur  

Mundskyllevæske

Faktorer der påvirker stabiliteten   Mundskyllevæske   Faktorer der påvirker stabiliteten : Nystatin        
Ingen data

  Mentions Légales