Zadnji put ažurirano :
27/04/2026
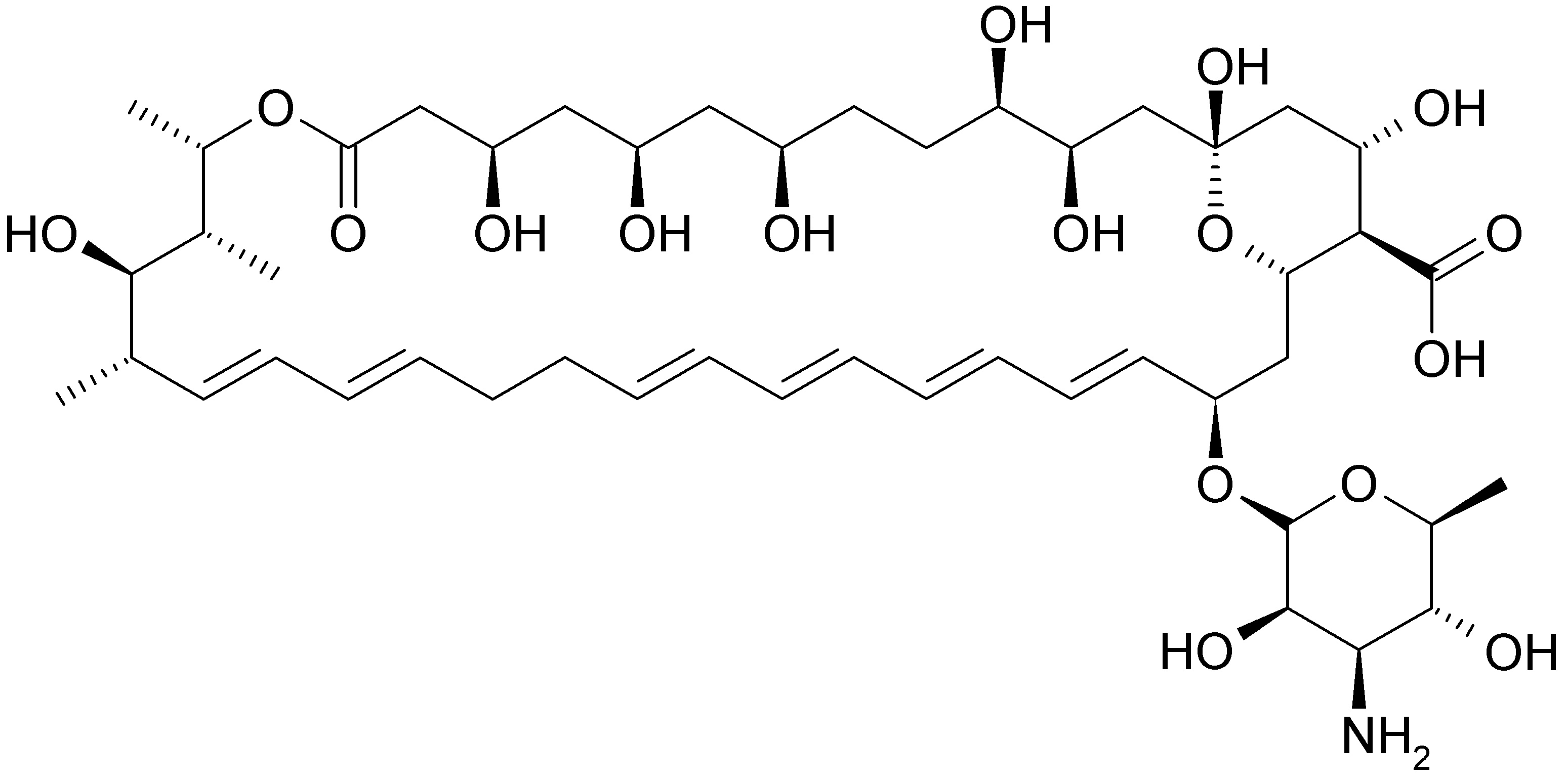
antifungicid   Nystatin  
otopina za ispiranje usne šupljine
Stabilnost farmaceutskih pripravaka Stabilnost mješavine Stabilizacijski faktor Kompatibilnosti Bibliografija pdf
   Kemijska struktura  

otopina za ispiranje usne šupljine

Stabilizacijski faktor   otopina za ispiranje usne šupljine   Stabilizacijski faktor : Nystatin        
bez podataka

  Mentions Légales