Poslední aktualizace :
27/04/2026
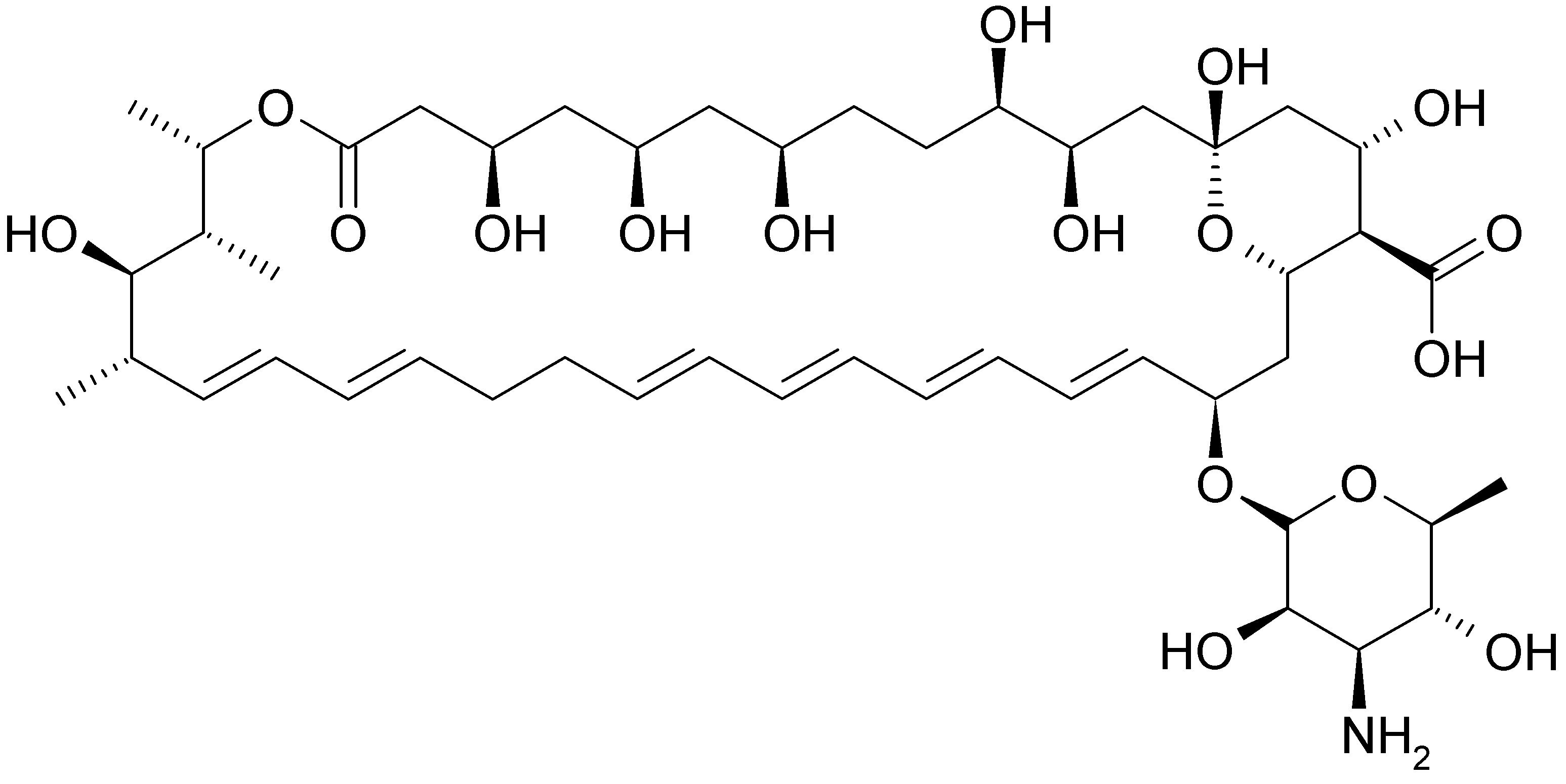
Protiplísňový přípravek   Nystatin  
kloktadlo
Stabilita farmaceutických přípravků Stabilita směsí Faktory ovlivňující stabilitu Kompatibilita Odkazy pdf
   Chemický vzorec  

kloktadlo

Faktory ovlivňující stabilitu   kloktadlo   Faktory ovlivňující stabilitu : Nystatin        
žádná data

  Mentions Légales