Senaste uppdateringen :
27/04/2026
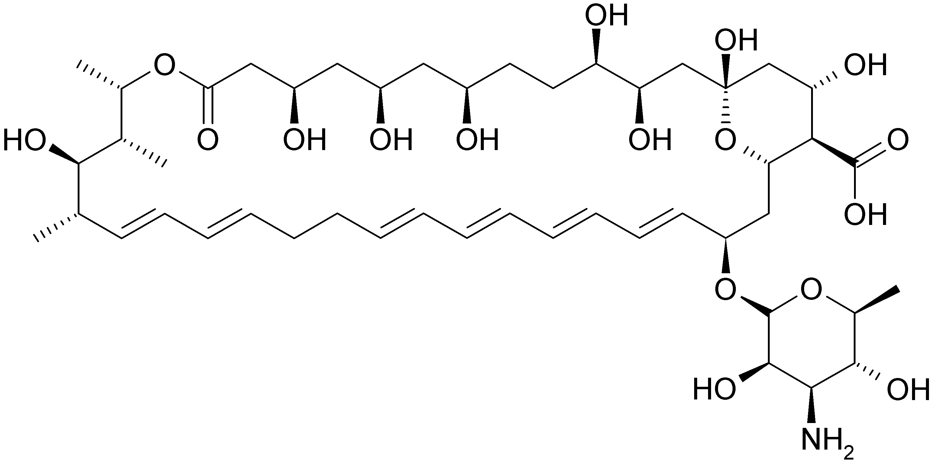
Antimykotikum   Nystatin  
Munvatten
Stabilitet av läkemedel Stabilitet i blandningar Faktorer som påverkar stabiliteten Kompatibilitet Hänvisningar pdf
   Molekylstruktur  

Munvatten

Faktorer som påverkar stabiliteten   Munvatten   Faktorer som påverkar stabiliteten : Nystatin        
Ingen uppgift

  Mentions Légales