Last update :
27/04/2026
Antifungal   Nystatin  
Mouthwash
Stability of pharmaceutical preparations Stability of mixtures Factors which affect stability Compatibility References pdf
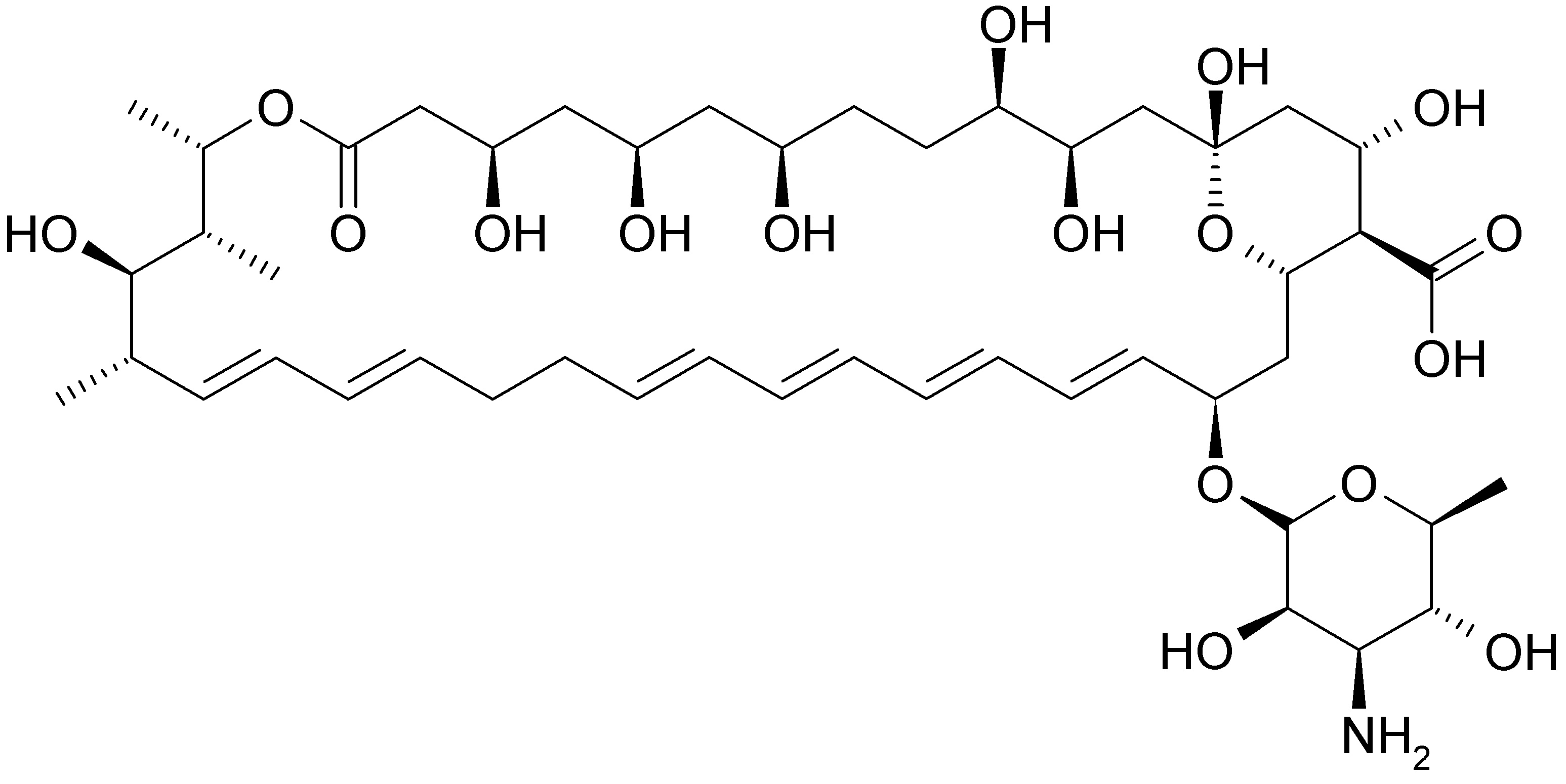
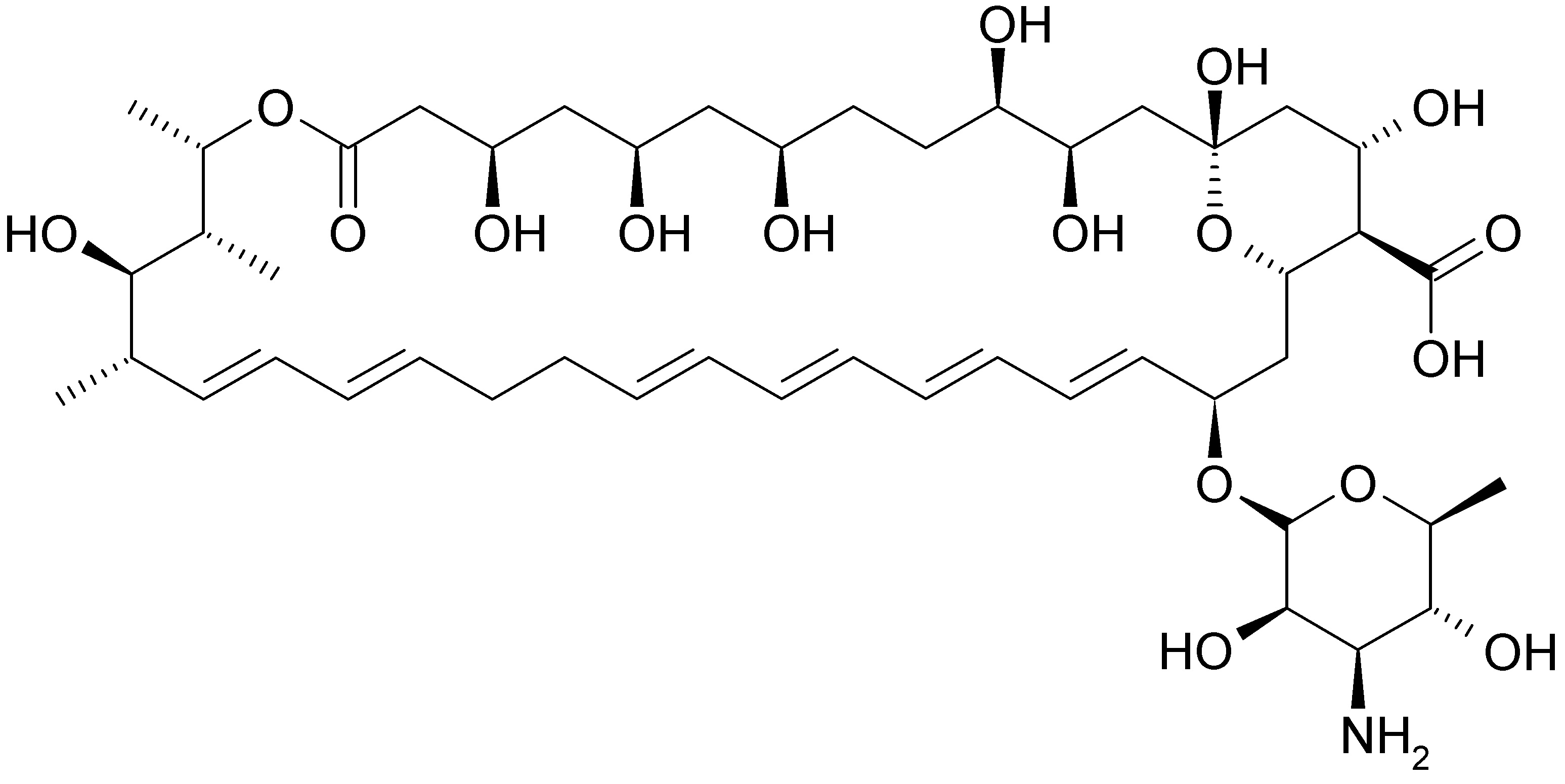
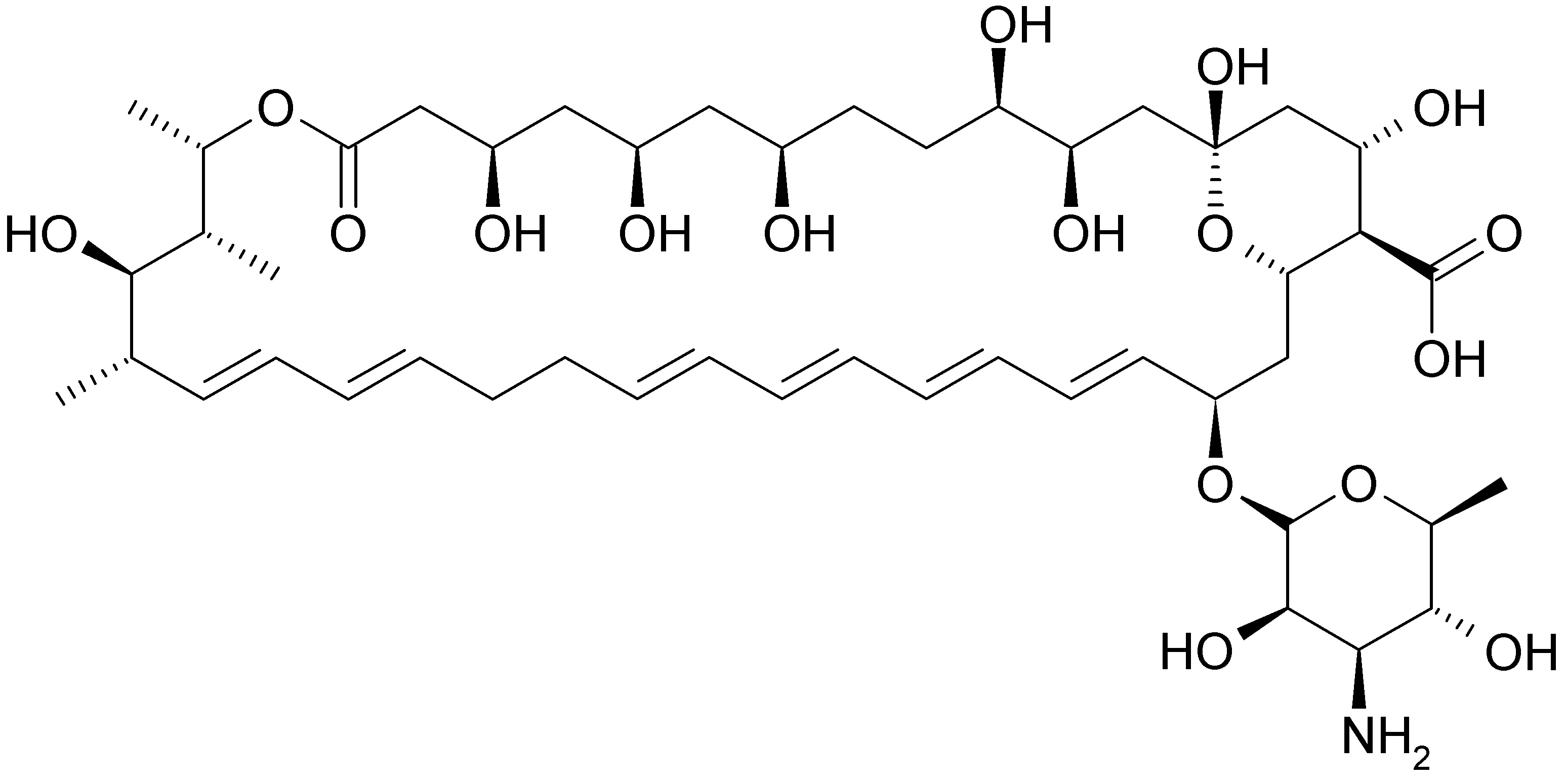
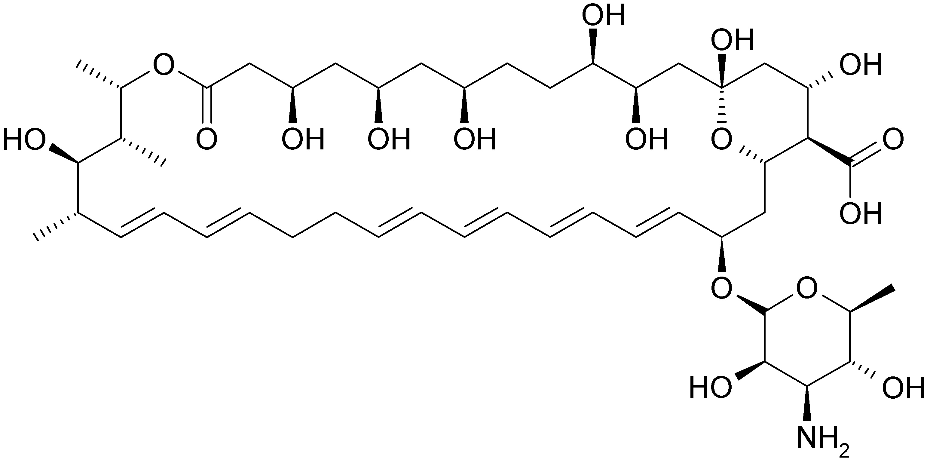
   Chemical structure  

Mouthwash

Factors which affect stability   Mouthwash   Factors which affect stability : Nystatin        
No data

  Mentions Légales