Última actualización :
27/04/2026
Antifúngico   Nystatin  
Enjuagues bucales
La estabilidad de las preparaciones farmacéuticas Estabilidad en mezcla Factores que influyen sobre la estabilidad Compatibilidades Bibliografía pdf
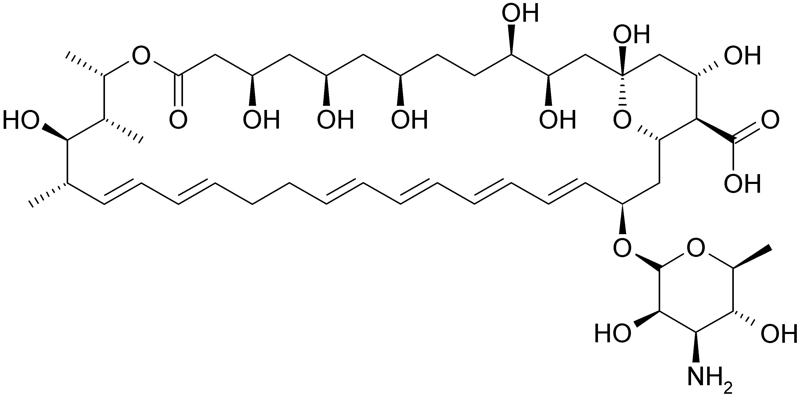
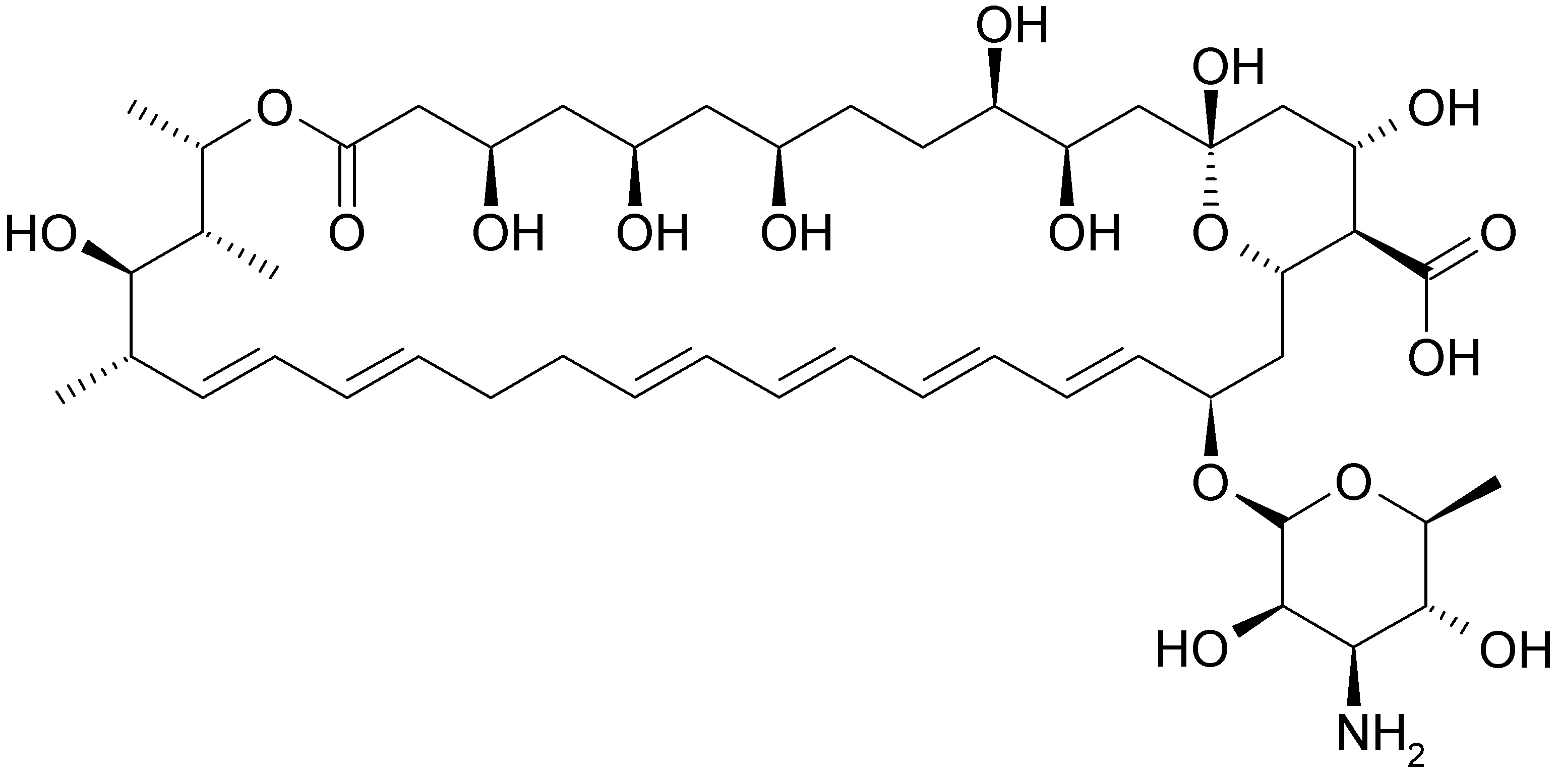
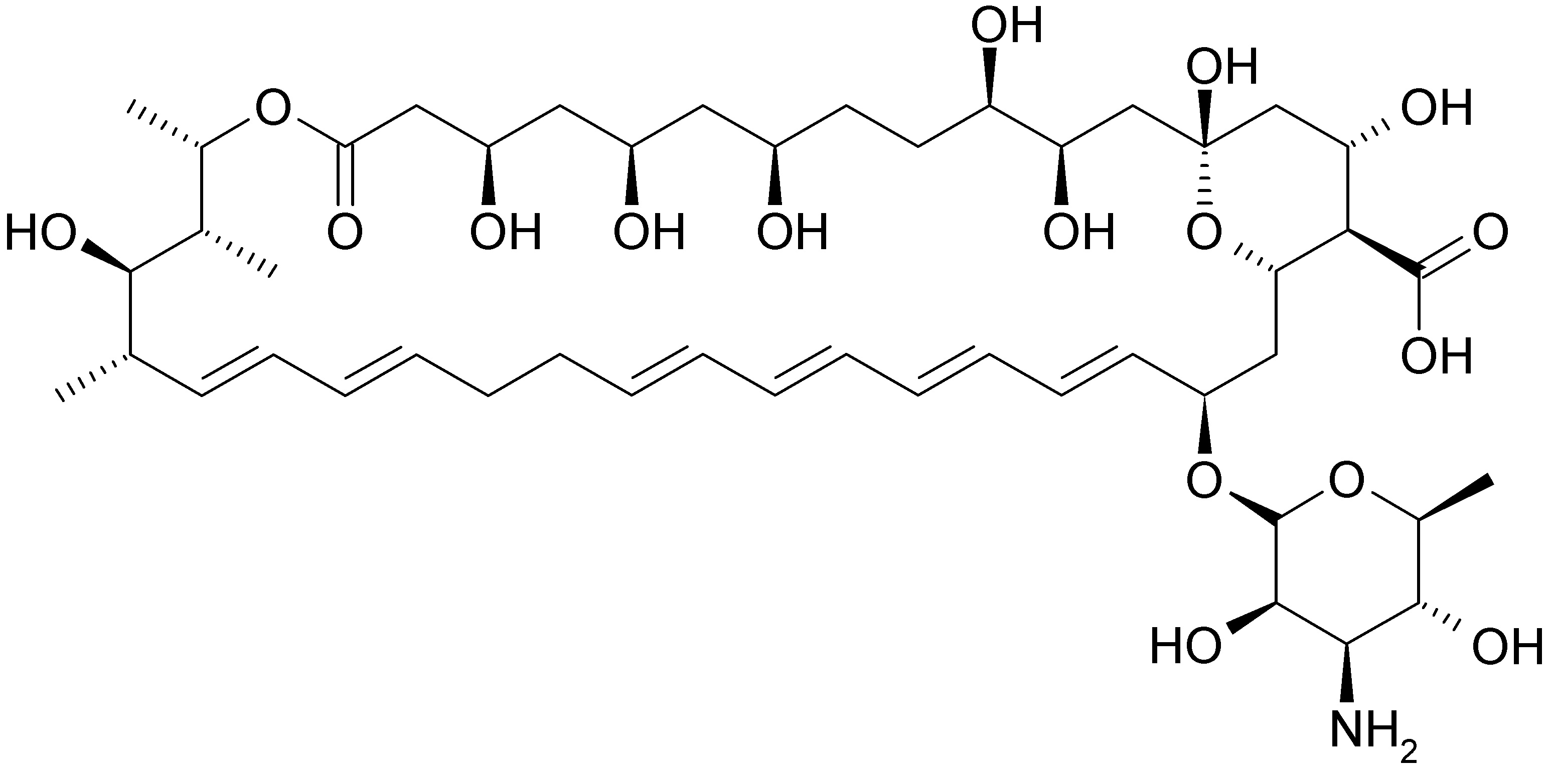
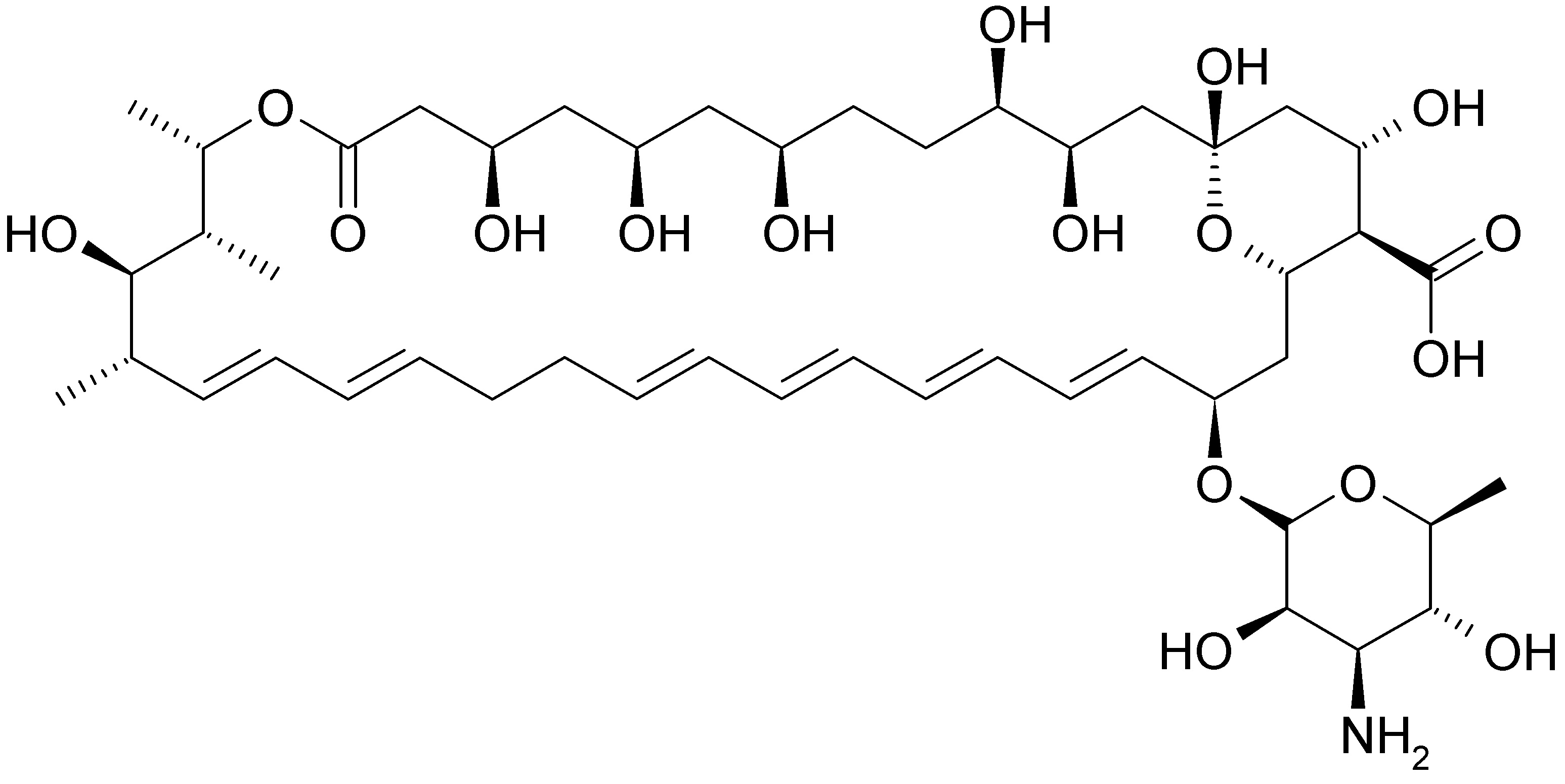
   Estructura química  

Enjuagues bucales

Factores que influyen sobre la estabilidad   Enjuagues bucales   Factores que influyen sobre la estabilidad : Nystatin        
Ausencia de datos

  Mentions Légales