viimane versioon :
27/04/2026
Seenevastane ravim   Nystatin  
Suuloputus lahus
Stabiilsust ravimpreparaadid Stabiilsust mõjutavad tegurid stabiilsust mõjutavad faktorid Sobimatus Viited pdf
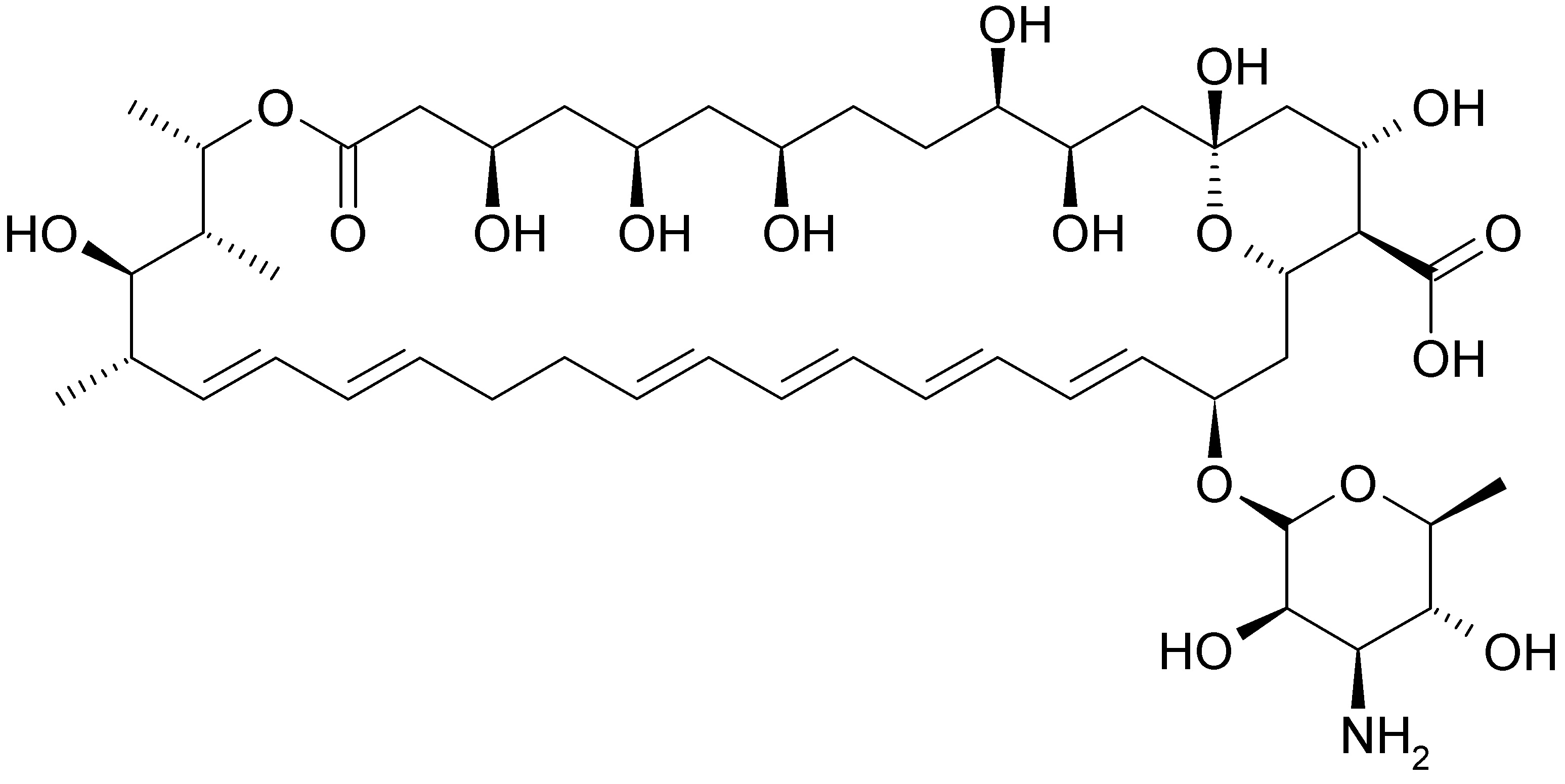
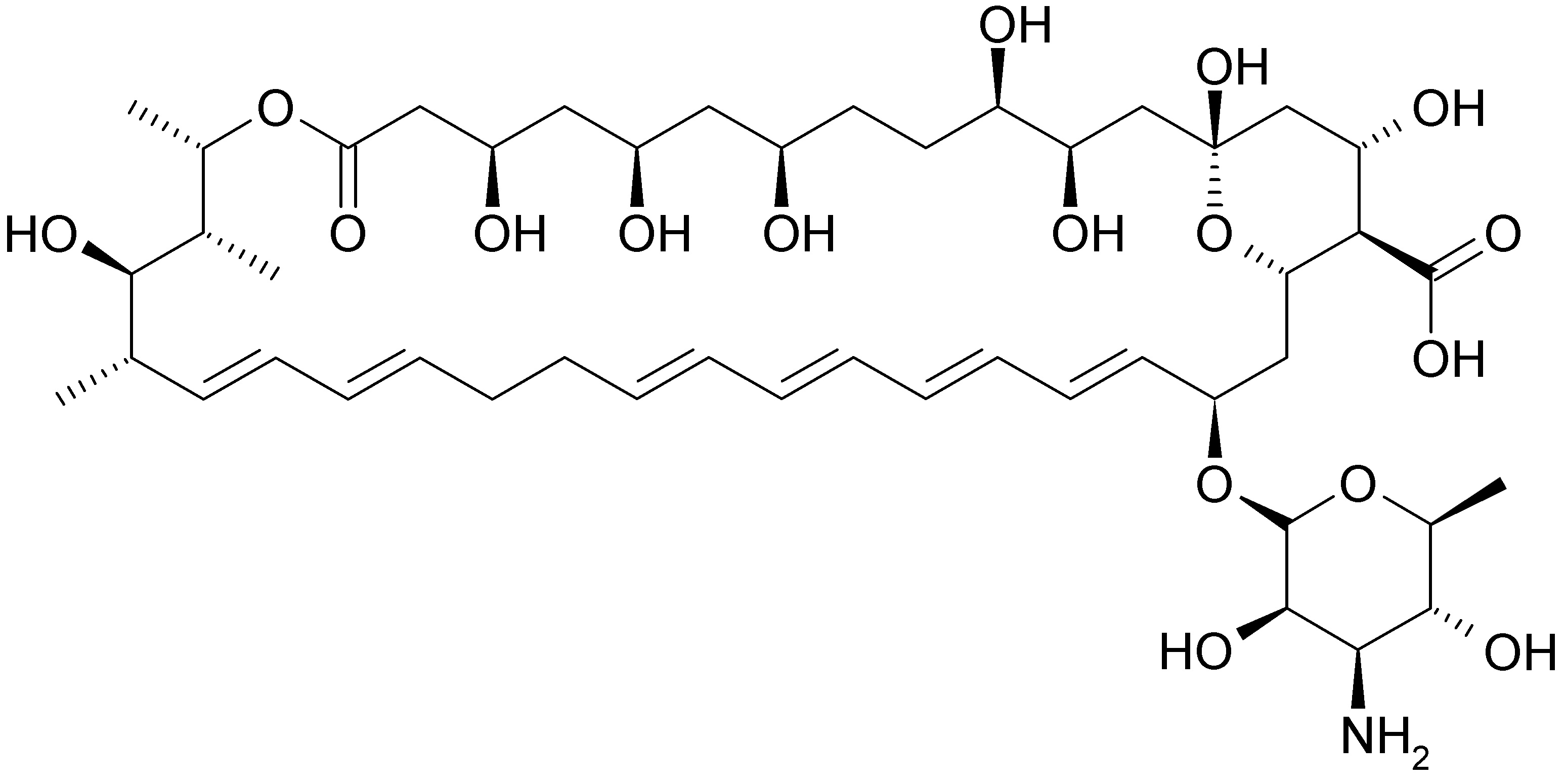
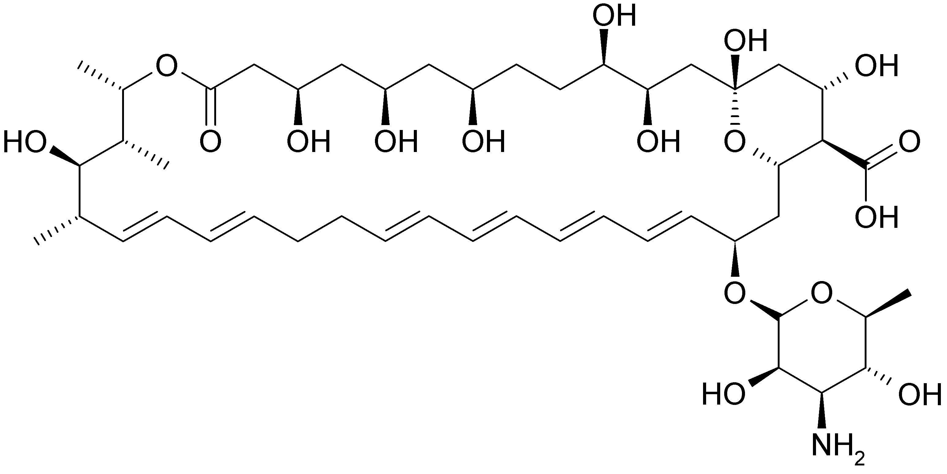
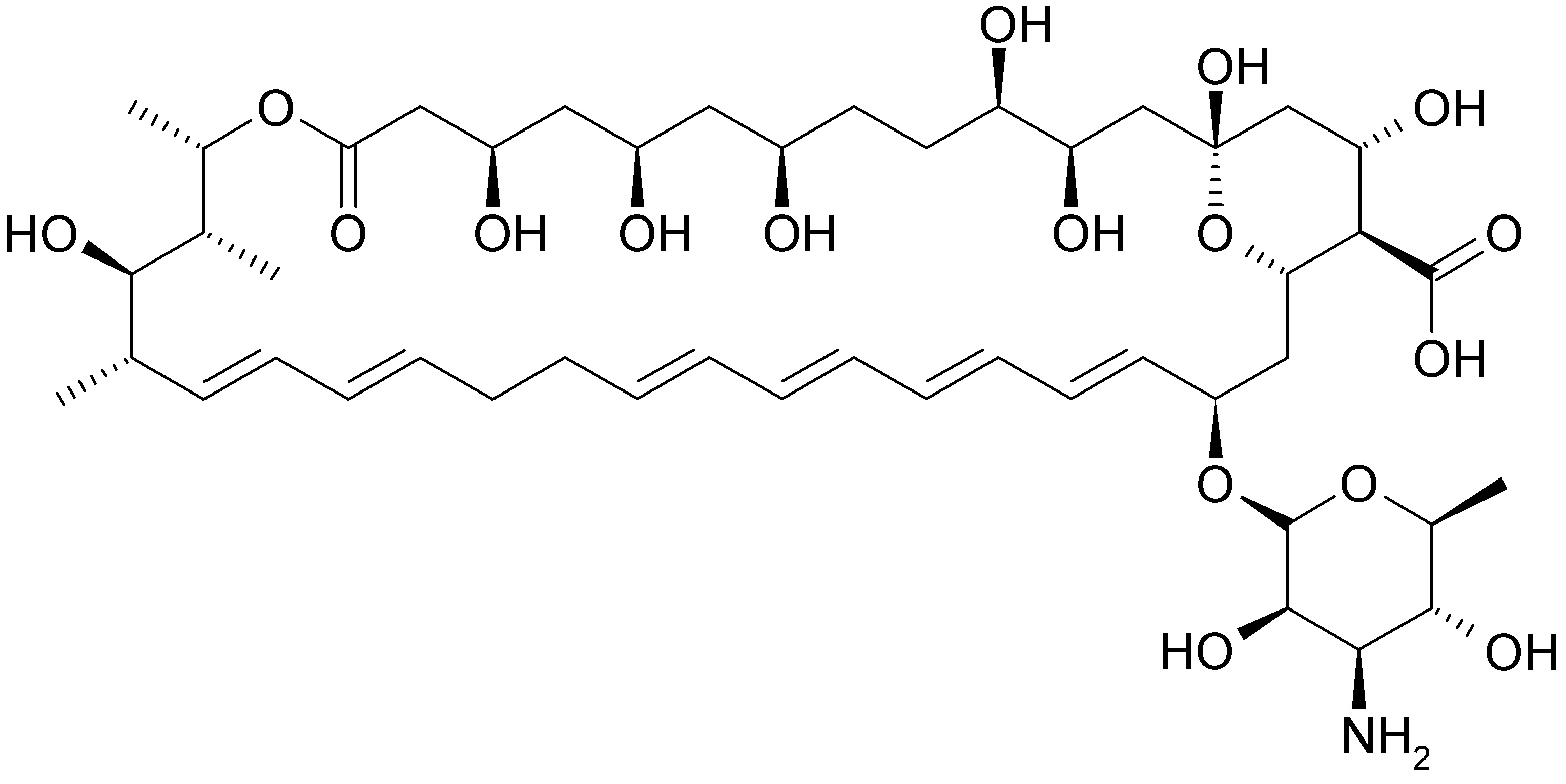
   keemiline struktuur  

Suuloputus lahus

stabiilsust mõjutavad faktorid   Suuloputus lahus   stabiilsust mõjutavad faktorid : Nystatin        
andmed puuduvad

  Mentions Légales